EasyManua.ls Logo

Zipro Rook Gold - Page 12

Zipro Rook Gold
Print Icon
To Next Page IconTo Next Page
To Next Page IconTo Next Page
To Previous Page IconTo Previous Page
To Previous Page IconTo Previous Page
Loading...
12
Po każdym treningu wytrzyj pot z urządzenia. Zwróć uwagę na to, aby monitor nie miał kontaktu
z wodą ani wilgocią.
Do czyszczenia urządzenia używaj wyłącznie wody z mydłem. Nie stosuj środków czyszczących.
Przechowuj urządzenie w suchym i ciepłym miejscu.
Nie wystawiaj urządzenia na działanie promieni słonecznych.
TRENING I FAZY ĆWICZEŃ
Korzystanie z urządzenia dostarczy Ci wiele korzyści. Przede wszystkim poprawi Twoją kondycję, wzmocni
mięśnie, a w połączeniu z odpowiednią dietą pozwoli spalić zbędną tkankę tłuszczową.
1. ROZGRZEWKA
To faza, która poprawia krążenie krwi w całym ciele oraz przygotowuje mięśnie do wzmożonego wysiłku.
Zmniejsza również ryzyko powstania skurczów oraz odniesienia kontuzji. Wskazane jest, aby wykonać kilka
ćwiczeń rozciągających tak jak pokazano poniżej. Jeśli czujesz ból, przestań ćwiczyć lub zmniejsz zakres
wykonywanego ruchu.
ĆWICZENIA ROZCIĄGAJĄCE:
ROZCIĄGANIE WEWNĘTRZNYCH MIĘŚNI UD
Usiądź na płaskim podłożu ze zgiętymi nogami i kolanami skierowanymi na zewnątrz. Złącz
podeszwy stóp i zbliż je do siebie tak blisko jak to możliwe. Delikatnie naciśnij kolana kierując je
w kierunku podłoża i wytrzymaj w tej pozycji przez 15 sekund.
ROZCIĄGANIE UD
Usiądź na płaskim podłożu. Wyprostuj prawą nogę, a podeszwę lewej stopy przyłóż do prawego uda.
Wyciągnij prawą rękę w kierunku palców prawej nogi tak daleko jak to możliwe. Wytrzymaj przez 15
sekund. Powtórz czynność z lewą nogą.
SKRĘTY GŁOWY
Trzymaj głowę prosto patrząc przed siebie. Nie ruszając ramionami obróć ją w prawo i wyprostuj,
a potem obróć w lewo i wyprostuj.
UNOSZENIE RAMION
Podnieś możliwie wysoko do góry lewą rękę i wytrzymaj przez kilka sekund. Powtórz czynność
z prawą ręką.
ROZCIĄGANIE ŚCIĘGIEN ACHILLESA
Stań twarzą do ściany, lewą nogę wysuń do przodu i lekko ugnij w kolanie. Prawą trzymaj z tyłu
wyprostowaną, z piętą położoną płasko na podłożu. Trzymaj obie pięty płasko na podłożu
i przyciskaj biodra w kierunku ściany. Utrzymuj tę pozycję przez 30 sekund. Powtórz czynność
z wysuniętą prawą nogą. Pamiętaj, aby podczas ćwiczenia nie wyginać pleców w łuk.
SKŁONY
Stań w nogami złączonymi razem. Wykonaj skłon w przód starając się jak najbardziej zbliżyć klat
piersiową do kolan. Wytrzymaj przez 15 sekund. Pamiętaj, aby nie zginać kolan.
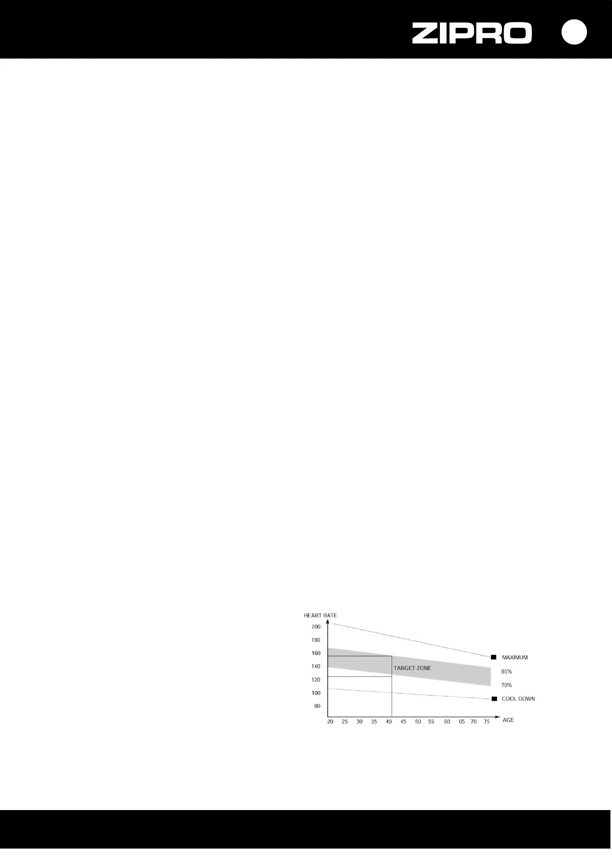
2. FAZA ĆWICZEŃ
To właściwa faza treningu. Ćwicz we własnym
tempie tak, aby osiągnąć adekwatne tętno
do swojego wieku jak przedstawiono na wykresie.
3. FAZA ODPRĘŻENIA
Faza ta pozwala uspokoić krążenie i odprężyć
mięśnie. Jest to powtórka ćwiczeń
rozgrzewających. Należy pamiętać o tym, aby nie
nadwyrężać mięśni.

Table of Contents

Related product manuals