EasyManua.ls Logo

ABB 8408608 - Parallel Installation Operation

ABB 8408608
40 pages
Print Icon
To Next Page IconTo Next Page
To Next Page IconTo Next Page
To Previous Page IconTo Previous Page
To Previous Page IconTo Previous Page
Loading...
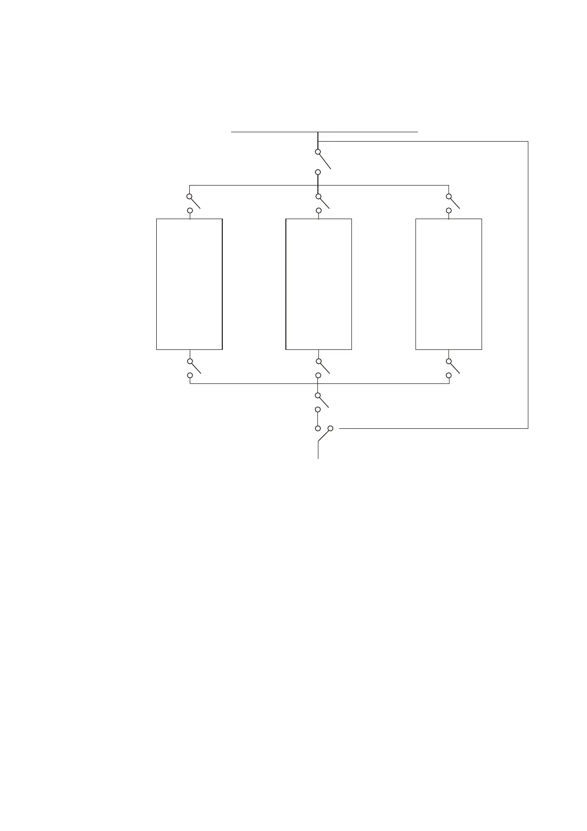
From Utility
UPS 1# UPS 2#
I/P Breaker
I/P Breaker I/P Breaker
Mains Breaker
Maintain Bypass for Parallel
O/P Breaker O/P Breaker
UPS 3#
O/P Breaker
Main O/P Breaker
To Load
Mains Mechanical or static switch
17
16
3.4.5 Parallel installation operation
Up to three UPSs can be connected in parallel to
configure a sharing and redundant output power.
16 Parallel system
installation diagram
3 INSTALL ATION

Related product manuals