EasyManua.ls Logo

Acer T230H - Page 41

Acer T230H
78 pages
To Next Page IconTo Next Page
To Next Page IconTo Next Page
To Previous Page IconTo Previous Page
To Previous Page IconTo Previous Page
Loading...
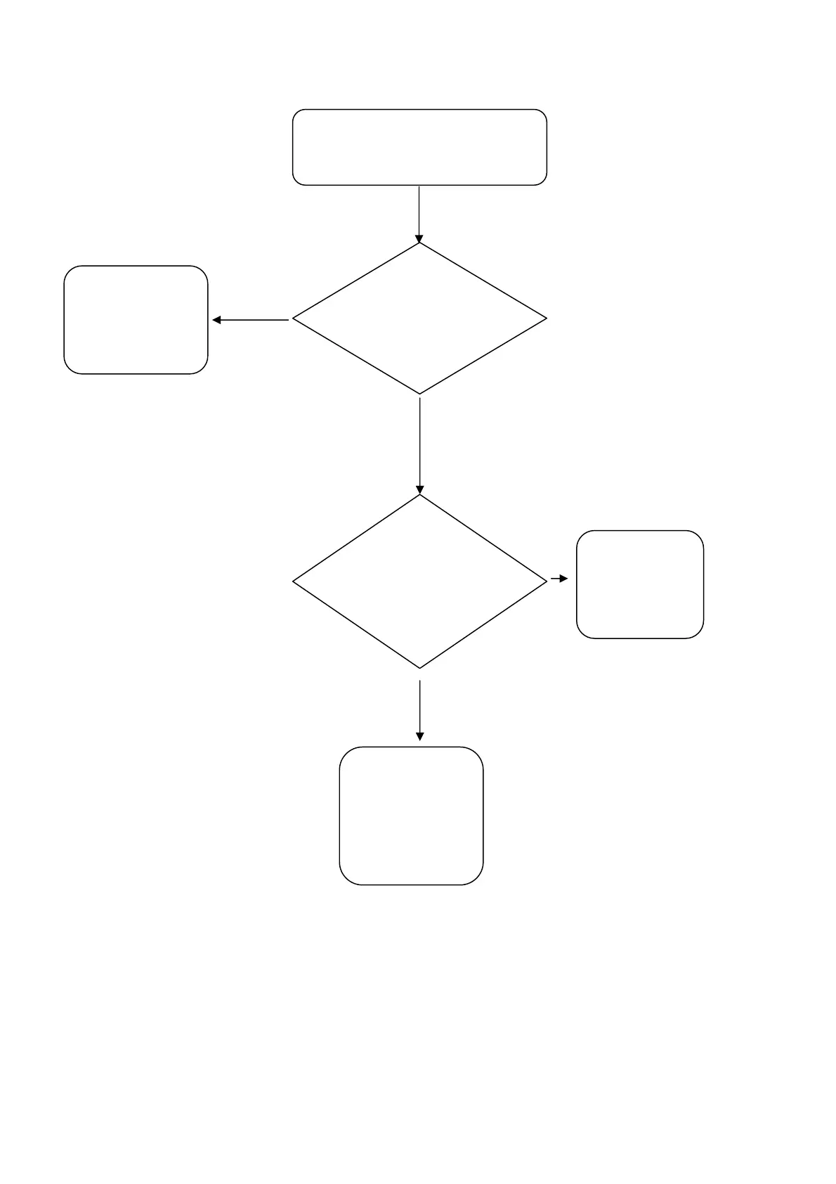
3. Always show “NO SIGNEL”
“NO SIGNEL”
Check VGA
Cable
Yes
Change Cable
NO
VGA Check
R70~R80,C2
9,C30
Change M/B
NO
Change M/B

Other manuals for Acer T230H

Related product manuals