EasyManua.ls Logo

Ariston GENUS PREMIUM EVO 24

Ariston GENUS PREMIUM EVO 24
52 pages
To Next Page IconTo Next Page
To Next Page IconTo Next Page
To Previous Page IconTo Previous Page
To Previous Page IconTo Previous Page
Loading...
15
installationinstallazione
Dispositivo di sovrapressione
Provvedere al montaggio del tubo di scarico della valvola di sicurezza
“F” presente nella confezione documenti.
Lo scarico del dispositivo di sovrapressione deve essere collegato
ad un sifone di scarico con possibilità di controllo visivo per evitare
che in caso di intervento dello stesso si provochino danni a persone,
animali e cose, dei quali il costruttore non è responsabile.
Pulizia impianto di riscaldamento
In caso di installazione su vecchi impianti si rileva spesso la
presenza di sostanze e additivi nell’acqua che potrebbero in uire
negativamente sul funzionamento e sulla durata della nuova caldaia.
Prima della sostituzione bisogna provvedere ad un accurato lavaggio
dell’impianto per eliminare eventuali residui o sporcizie che possono
comprometterne il buon funzionamento. Veri care che il vaso di
espansione abbia una capacità adeguata al contenuto d’acqua
dell’impianto.
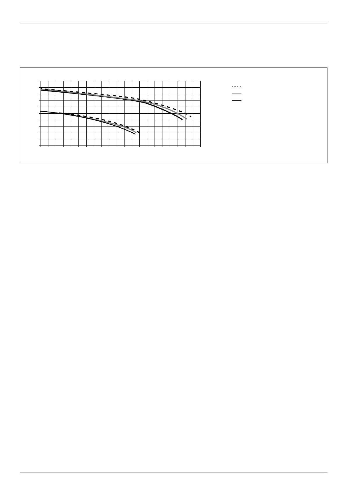
Rappresentazione gra ca della prevalenza residua circolatore
Per il dimensionamento delle tubazioni e dei corpi radianti
dell’impianto di riscaldamento si valuti il valore di prevalenza residua
in funzione della portata richiesta, secondo i valori riportati sul
gra co del circolatore.
Impianti a pavimento
Negli impianti di riscaldamento a pavimento, installare un termostato
di sicurezza sulla mandata della caldaia (vedere Schema Elettrico).
Tale termostato deve essere collocato ad una distanza dalla caldaia
su ciente a garantirne il corretto funzionamento. Se posto troppo
vicino, in seguito ad un prelievo di acqua calda sanitaria, l’acqua
che rimane nella caldaia, fatta  uire nell’impianto, potrebbe causare
l’apertura del contatto del termostato senza che vi sia un reale
pericolo di danneggiamento dell’impianto.
Questo comporta il blocco del funzionamento della caldaia sia in
modo sanitario che riscaldamento e a display compare il codice di
errore “116”; il ripristino del funzionamento si avrà in automatico
quando il contatto del termostato , ra reddandosi, si chiude.
Nel caso in cui il termostato non possa essere installato come
indicato, l’impianto a pavimento dovrà essere protetto installando, a
monte del termostato, una valvola termostatica per impedire il  usso
di acqua troppo calda verso l’impianto.
Collegamento bollitore
GENUS PREMIUM EVO SYSTEM
La caldaia è predisposta per il collegamento ad un bollitore esterno
per la produzione di acqua calda ad uso sanitario.
La regolazione della temperatura avviene tramite sonda NTC (vedi
schema elettrico).
In caso di controllo della temperatura con termostato è necessario
modi care la versione della caldaia (da tank a solo riscaldamento)
tramite il menu 2/sottomenu 2/parametro 8.
Per informazioni più dettagliate leggere il foglio istruzioni contenuto
nei Kit.
For the measuring of the pipes and of the heating bodies in the
heating system, the residual head value should be calculated as a
function of the requested  ow rate, in accordance with the values
shown in the circulation pump graph.
Residual Head of the Boiler ∆T 20°C
Excessive pressure device
Fit the drain pipe for safety valve F, included with instructions
manual. The excessive pressure device outlet must be connected
to a drainage siphon which can be checked visually in order to
prevent maintenance procedures causing harm to people, animals
or property (the manufacturer shall not be held responsible for any
such damage).
Cleaning the heating system
Where the boiler is used in conjunction with an older system, various
substances and additives may be present in the water and these
could have an adverse e ect on the operation and durability of the
new boiler. Before replacing the old boiler, you must arrange for the
system to be cleaned thoroughly in order to eliminate any residue
or dirt which could compromise the correct operation of the water
heater. Make sure the capacity of the expansion vessel is suited to the
amount of water contained in the system.
Tank connection
GENUS PREMIUM EVO SYSTEM
The boiler is designed for managing the production of domestic hot
water via a tank.
The temperature is adjusted via an NTC sensor (see electrical
diagram).
If the temperature is controlled by a thermostat, it will be necessary
to change the boiler version (from tank to System) via menu 2/sub-
menu 2/parameter 8.
For more information, refer to the instruction manual contained in
the kit.
Under oor heating
For appliances with under oor heating,  t a safety thermostat onto
the under oor heating outlet. For the electrical connection of the
thermostat see the section on “Electrical connections”.
If the outlet temperature is too high, the boiler will stop both
domestic hot water and the heating production and the error code
1 16 “ oor thermostat contact open” will appear on the display. The
boiler will restart when the thermostat is closed during automatic
resetting.
If the thermostat cannot be installed, the under oor heating
equipment must be protected by a thermostatic valve, or by a by-
pass to prevent the  oor from reaching too high a temperature.
0
1
2
3
4
5
0 100 200 300 400 500 600 700 800 900 1000
[l\h]
[mCE]
GENUS PREMIUM EVO 35
GENUS PREMIUM EVO SYSTEM 35
GENUS PREMIUM EVO 30
GENUS PREMIUM EVO SYSTEM 30
GENUS PREMIUM EVO 25
GENUS PREMIUM EVO SYSTEM 25
GENUS PREMIUM EVO SYSTEM 18
GENUS PREMIUM EVO SYSTEM 12

Table of Contents

Other manuals for Ariston GENUS PREMIUM EVO 24

Related product manuals