EasyManua.ls Logo

Ashton MXL12FX - Safety Information

Default Icon
20 pages
Print Icon
To Next Page IconTo Next Page
To Next Page IconTo Next Page
To Previous Page IconTo Previous Page
To Previous Page IconTo Previous Page
Loading...
PAGE 13
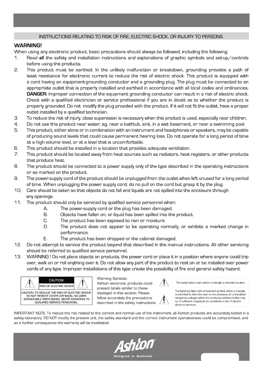
sAFetY InFoRMAtIon
MX12FX_MANUAL.indd 13 8/07/10 5:20 PM