EasyManua.ls Logo

Behringer UB-Xa - Modulation Routing and Sources; Modulation Sources Explained; Modulation Matrix Configuration

Behringer UB-Xa
34 pages
Print Icon
To Next Page IconTo Next Page
To Next Page IconTo Next Page
To Previous Page IconTo Previous Page
To Previous Page IconTo Previous Page
Loading...
18 UB-Xa User Manual
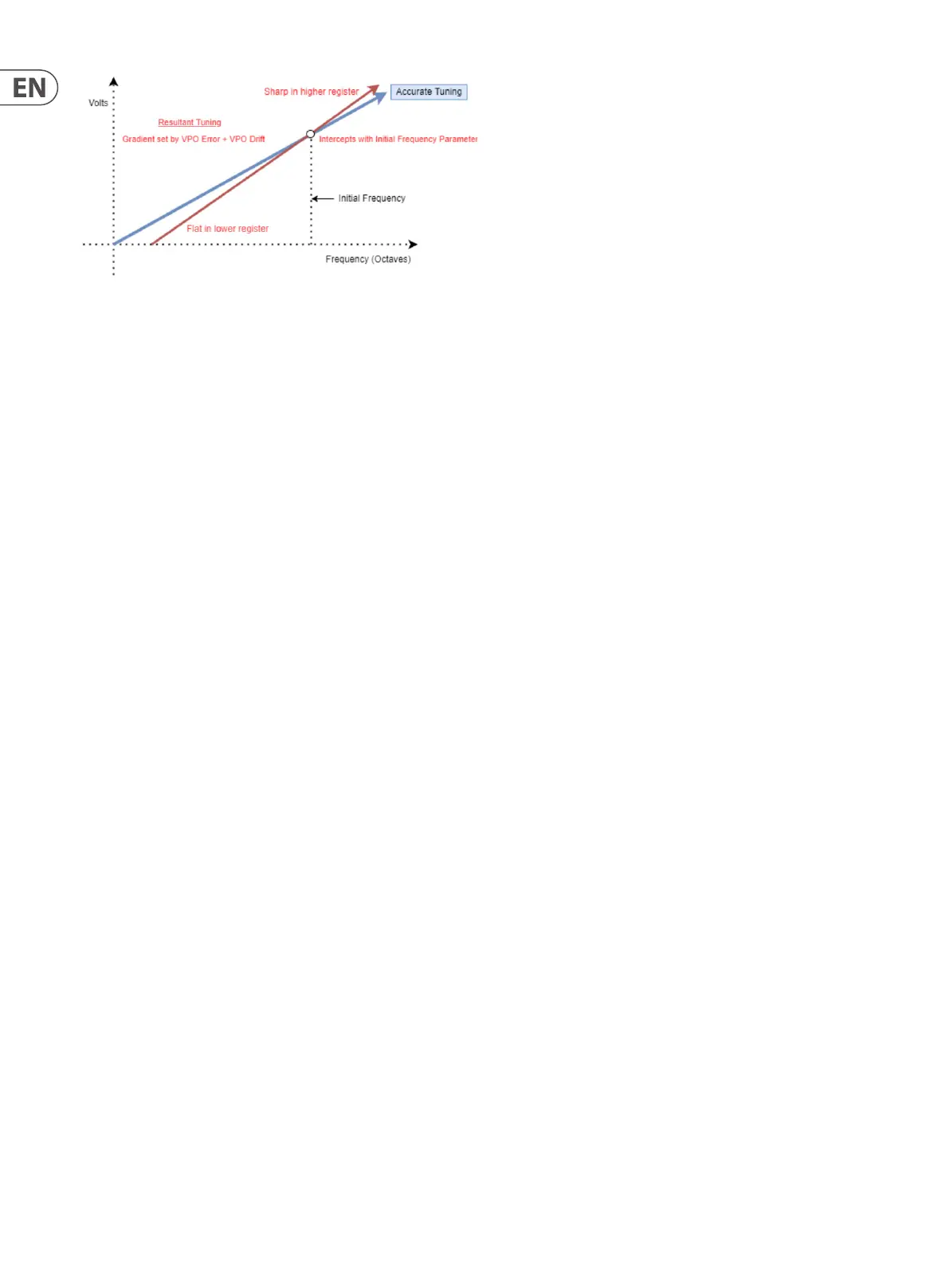
The above graph applies to FVPO Error, FVPO Drift, FDrift Speed and FInitFreq
in relation to the lter where frequency is in relation to the frequency of the
resonant peak of the lter; OSCVPO Error, OSCVPO Drift, ODrift Speed and
OSCInitFreq where frequency is in relation to the pitch of the oscillators. These
parameters allow the tuning of the lter to be adjusted emulating volts per
octave calibration tuning error in vintage synthesizers.
The VPO Error is a constant scaling to the gradient of the volts per octave relative
to the Initial Frequency, the Initial Frequency is precise and accurate. VPO Drift is
a small amount of random factor independent to each voice added to this factor.
The speed that the VPO Drift is changing is set by the respective drift speed
parameters.
Panning – sets the position of each voice, individually, in the stereo eld using
the rotary encoder to scroll through the voices then pressing to enter the voice.
The encoder can then be used to pan the selected voice through the stereo
eld: -127 is fully panned to the left; 0 is central; 127 is fully panned to the right.
Default is 0 for all voices. Hard pan to the left or right can be set instantly with
the value +/- buttons.
Inhibit
Please note that the Inhibit options are intended for repair and diagnostic use
and should not have their settings adjusted unless this becomes necessary.
Toggle 1 – 8 – allows voices 1 – 8 to be individually switched on or o
using the +/- buttons. Default is on.
Toggle 9 – 16- allows voices 9 – 16 to be individually switched on or o
using the +/- buttons. Default is on.
PWMCal1to8 – allows PWM calibration for voices 1 – 8 to be individually
inhibited using the +/- buttons. Default is on.
PWMCal9to16 – allows PWM calibration for voices 9 – 16 to be
individually inhibited using the +/- buttons. Default is on.
VCOCal1to8 – allows VCO calibration for voices 1 – 8 to be individually
inhibited using the +/- buttons. Default is on.
VCOCal9to16 – allows VCO calibration for voices 9 – 16 to be individually
inhibited using the +/- buttons. Default is on.
VCFCal1to8 – allows VCF calibration for voices 1 – 8 to be individually
inhibited using the +/- buttons. Default is on.
VCFCal9to16 – allows VCF calibration for voices 9 – 16 to be individually
inhibited using the +/- buttons. Default is on.
Shift & 68 – Modulation Matrices
The modulation matrices allows any available source to be routed to
any available destination with a depth of 0 to 127 (normal) or 0 to
-127 (inverted). Each patch has eight matrices available, which can be
selected when in the menu by using the +/- buttons.
Sources
Can be selected by scrolling through the available options using the rotary
encoder (62) then pressing enter, or by moving/pressing the relevant control
on the top panel where available. Enter cycles through Source; Destination and
Amount. A matrix can be cleared by selecting it then pressing and holding the
rotary encoder for one second. Available sources are:
Empty (no source selected)
ATMono (monophonic aftertouch)
ATPoly (polyphonic aftertouch)
Breath (Incoming Continuous Controller #2 (Breath))
CH1Env (Modulation Channel 1 envelope)
CH2 Env (Modulation Channel 2 envelope)
CH1Mod (Modulation Channel 1 (frequency))
CH2Mod (Modulation Channel 2 (pulse width modulation))
Express (Incoming Continuous Controller #11 (Expression))
Filter (Aggregate of all lter controls)
FtrEnv (Filter Envelope)
KyMono (Monophonic keyboard tracking using last note played)
KyPoly (Polyphonic keyboard tracking)
LdnEnv (Loudness Envelope)
LFOMod (Modulation LFO)
LFOPrf (Performance LFO)
Noise (White Noise Generator)
ModLvr (Modulation Lever (74))
OSC1Fr (Oscillator 1 Frequency control (23))
OSC2Fr (Oscillator 2 Frequency control (29))
OSC1PW (Oscillator 1 Pulse Width depth)
OSC2PW (Oscillator 2 Pulse Width depth)
PchBnd (Pitch Bend Lever (75))
Resnce (Filter Resonance control (33))
Portam (Portamento control (6))
PerfCh (Aggregate of all Performance LFO controls)
VCA L (Left hand output VCA level)
VCA R (Right hand output VCA level)
Velcty (Keyboard velocity)
Butter (modulation increases in a linear manner per voice. Last voice
played gets full level)
#16 (Continuous Controller #16, assignable to either footpedal, or from
external device)
#17 (Continuous Controller #17, assignable to either footpedal, or from
external device)
#18 (Continuous Controller #18, assignable to either footpedal, or from
external device)
#19 (Continuous Controller #19, assignable to either footpedal, or from
external device)
MLvrUp (Modulation level upward motion)
MLvrDn (Modulation level downward motion)
MPETbr (MIDI MPE Timbre (up and down action))
MPEPb (MIDI MPE Pitchbend (left to right action))
MPEPrs (MIDI MPE Pressure)

Related product manuals