EasyManua.ls Logo

Casio 116ER - ECR Programming Guide; Program 1 Mode (X Mode) Operations; Presetting the Date

Casio 116ER
32 pages
Print Icon
To Next Page IconTo Next Page
To Next Page IconTo Next Page
To Previous Page IconTo Previous Page
To Previous Page IconTo Previous Page
Loading...
tF-
t
i
Such
data
as date,
discount/premium
and
percentage
should
be
preset
before
attempting
registration
operations.
These
preset
data
are
printed
automatically
on the receipt
or
journal,
and
cdn be recalled
during registration
by simply
pressing
the corresponding
function
key. Presetting
data will
supersede
any data
previously
preset.
o
Memory
data
(Registration
records,
Preset
data)
are
retained
as
long
as the
power
cord is
plugged
into
an AC
outlet
(except
during
power
failures)
even when
the mode
switch
is
set to
the OFF
po-
sition.
Reprogramming
of all memory
data is
required
whenever
power
supply
to the ECR
is
interrupted
bv
unplugging
the
power
cord,
power
failures,
etc.
A
rechargeable
power
protection
battery
pack
(Model
B-11,
optional)
is
available
to
protect
data and
allow
operations
when
regular
power
supply is
interrupted
(see
page
2g).,
o
The
MODE
SWITCH
must
be
set to
either X
or Z 1or
prograrn
mode
1 or
2 depending
upon
the type
of data
to
be
preset.
o
Press
tt'"
@-!"y
*hile
the MODE
SWITCH
is
set to
either X
or
Ztoenter
the
programming
mode.
Ensure
that
lFo.ool
is
being
shown
on the
display
at
this time.
o
Pressing
tne
fffi,|
key is
not required
after
each individual
data
entry. The
lffi,l
key
MUSL
however.
be
pressed
after
all
programming
is
complete
in
a
particular
rnode
(programTor
2),
except
for
date
and
tax table
entries.
El
PROGRAMMTNG
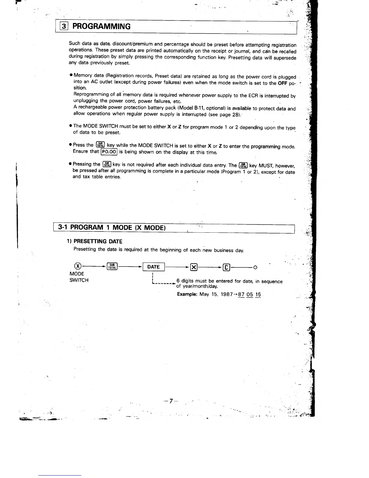
1) PRESETTING
DATE
Presetting
the
date is required
MODE
SWITCH
at
the beginning
of
each new
business
day.
@-[TjTl_tpArE
I
8------*@_o
I
I
L_______O.Oigits
must
be entered for
date, in
sequence
ot
year/month/day.
Example:
May 15,
1987-87
05
15
-7-

Related product manuals