EasyManua.ls Logo

Chappee Initia SUPER 2.24 FF - System Maintenance and Cleaning

Chappee Initia SUPER 2.24 FF
50 pages
Print Icon
To Next Page IconTo Next Page
To Next Page IconTo Next Page
To Previous Page IconTo Previous Page
To Previous Page IconTo Previous Page
Loading...
23
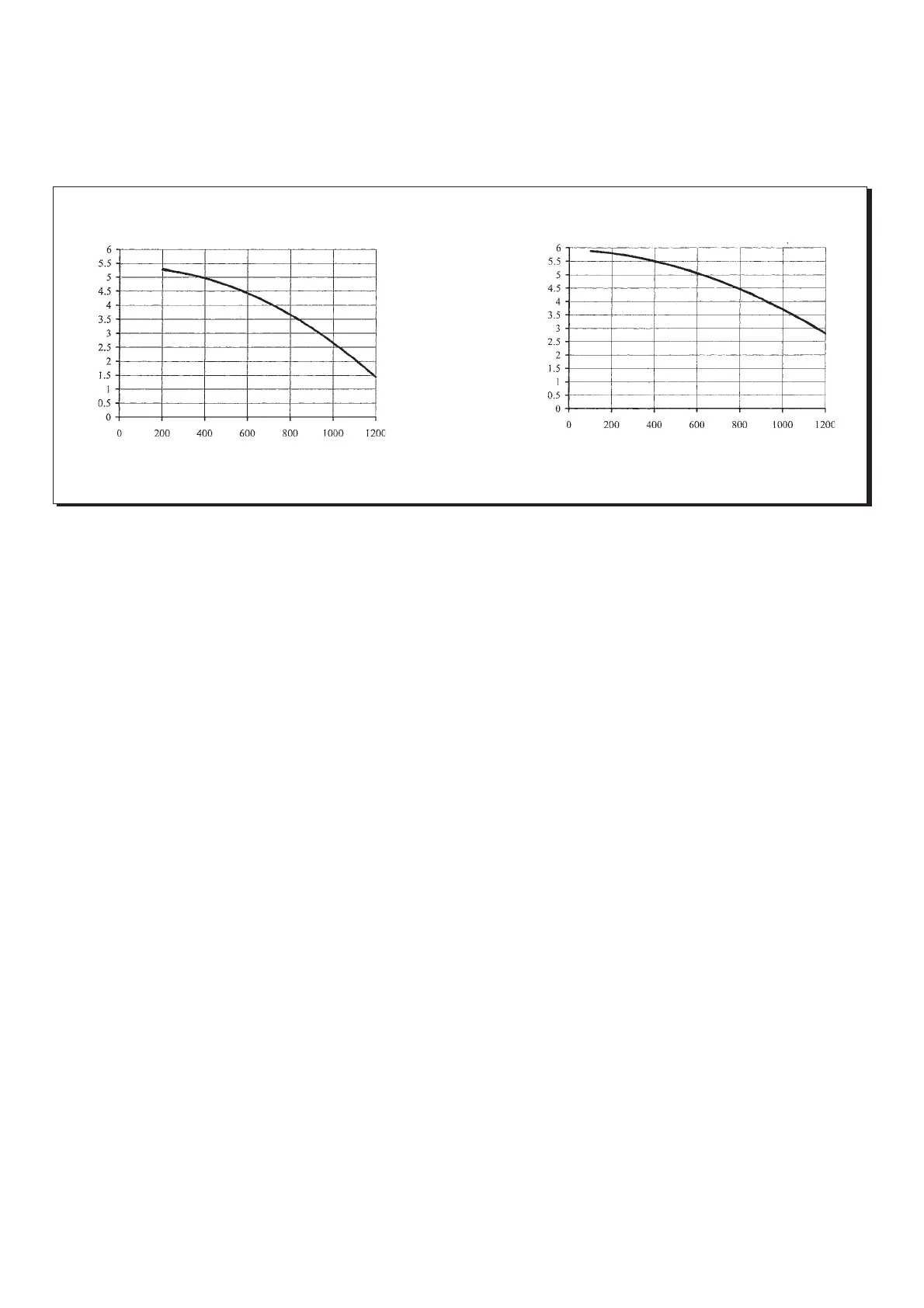
Output / pump head
performances
This is a high static head pump fit for installation on any type of single or
double-pipe heating systems. The air vent valve incorporated in the pump
allows quick venting of the heating system.
Απδοση µανοµετρικού
ύψους αντλίας
Αυτή είναι αντλία µεγάλου µανοµετρικού κατάλληλη για κάθε
εγκατάσταση µονοσωλήνιου ή δισωλήνιου συστήµατοσ. Η βαλβίδα
εξαέρωσησ επιτρέπει τη γρήγορη εξαέρωση του συστήµατοσ.
How to purge the DHW
system from limestone
deposits
To clean the DHW system it is not necessary to remove the DHW heat
exchanger if the assembly is equipped with the appropriate tap (supplied
on demand) placed on the hot water outlet.
To carry out the purge it is necessary to:
close the cold water inlet
drain the DHW system from the water contained therein by means of
a hot water tap
close the DHW outlet
unscrew the two stop cocks caps
•remove the filters.
In case the appropriate tap is not supplied it is necessary to disassemble
the DHW heat exchanger, as described in the following section, and do the
purge aside. We recommend you also purge from limestone deposits the
DHW heat exchanger seat and the NTC sensor fitted on the DHW system.
To purge the exchanger and/or the DHW system we suggest the use of
Cillit FFW-AL or Beckinser HF-AL.
Πώς να καθαρίσετε το σύστηµα
παραγωγής ζεστού νερού χρήσης
απ ασβεστολιθικά κατακάθια
Για να καθαριστεί το σύστηµα παραγωγήσ ζεστού νερού χρήσησ, δεν
είναι απαραίτητο να αφαιρεθεί ο εναλλάκτησ θερµτητασ, αν η
διάταξη είναι εφοδιασµένη µε τισ κατάλληλεσ βάνεσ (κατά
παραγγελία) στην είσοδο και έξοδο του ζεστού νερού.
Για να γίνει ο καθαρισµσ:
- Κλείστε την είσοδο κρύου νερού.
- Αποστραγγίστε το σύστηµα παραγωγήσ ζεστού νερού χρήσησ,
ανοίγοντασ το ζεστ νερ µιασ βρύσησ.
- Κλείστε την έξοδο του boiler.
- Ξεβιδώστε τα καπάκια των αποστραγγιστών.
- Αφαιρέστε τα φίλτρα.
Σε περίπτωση που δεν υπάρχουν αντίστοιχεσ βάνεσ, πρέπει να
αποσυνδεθεί ο εναλλάκτησ θερµτητασ, πωσ περιγράφεται στην
παρακάτω εντητα, και να γίνει ο καθαρισµσ απ κατακάθια στην
έδρα του boiler και ο αισθητήρασ ΝΤC. Για τον καθαρισµ του boiler
προτείνουµε τη χρήση Cillit FFW-AL ή Beckinser HF-AL.
Σε ειδικέσ περιπτώσεισ που η σκληρτητα του νερού ξεπερνά τα
25°F(1°F=10mg ανθρακικού ασβεστίου για κάθε λίτρο νερού)
συνιστούµε να τοποθετήσετε µετρητή πολυφώσφατησ στην είσοδο
κρύου νερού.
δυναττητα
l/h
- OUTPUT
l/h
γράφηµα 1 -
Graph
1
Υδροστατική πίεση σε
mH
2
O
PUMP HEAD
mH
2
O
INITIA SUPER 2.24 FF - 2.24 CF - 1.24 FF
INITIA SUPER 2.28 CF - 2.31 FF
δυναττητα
l/h
- OUTPUT
l/h
Υδροστατική πίεση σε
mH
2
O
PUMP HEAD
mH
2
O
γράφηµα 2 -
Graph
2
0207_1206
0207_2401

Table of Contents

Related product manuals