• Indoor Units • R-410A • FBQ-C7VEB
• Split Sky Air • Indoor Units
14
8 Sound data
8 - 1 Sound pressure spectrum
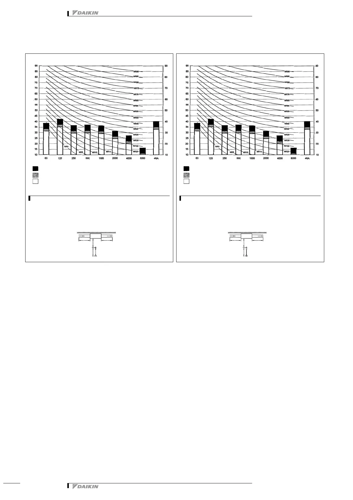
FBQ125C
3TW31267-2
Notes
1 Data is valid at free field condition
2 Data is valid at nominal operation condition
3 dBA = A-weighted sound power level. (A-scale according to IEC)
4 Reference acoustic pressures 0dB = 20μPa
5 Location of microphine
Sound pressure level [dB]
Octave band center frequency [dB]
1.5m
Microphone
Unit
2m 2m
1.5m
1m
High-tap
Medium-tap
Low-tap
DischargeSuction
FBQ140C
3TW31337-2
Notes
1 Data is valid at free field condition
2 Data is valid at nominal operation condition
3 dBA = A-weighted sound power level. (A-scale according to IEC)
4 Reference acoustic pressures 0dB = 20μPa
5 Location of microphine
Sound pressure level [dB]
Octave band center frequency [dB]
1.5m
Microphone
Unit
2m 2m
1.5m
1m
High-tap
Medium-tap
Low-tap
DischargeSuction