EasyManua.ls Logo

EFOY Pro 600 - Page 54

Default Icon
54 pages
Print Icon
To Previous Page IconTo Previous Page
To Previous Page IconTo Previous Page
Loading...
9. Appendix
55
SFC Energy AG
Eugen-Sänger-Ring 7
D-85649 Brunnthal-Nord
Phone: +49 89 673 5920
Fax: +49 89 673 592 369
Email: Sales@sfc.com
web: www.efoy-pro.com
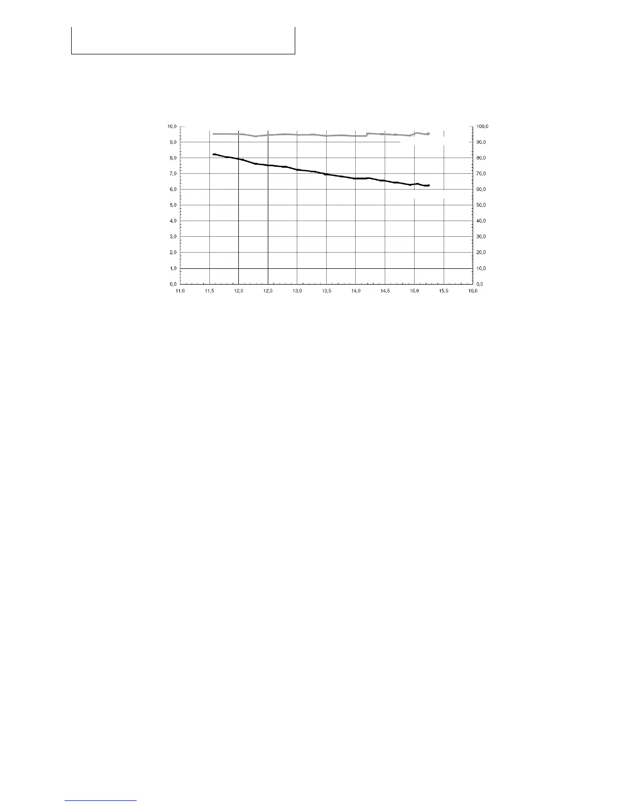
EFOY 2200: U-I and U-P Characteristic
Output Voltage [V]
Output Power [W]
Output Current [A]
Out
p
ut Current [A]
Out
p
ut
Power
[M]
120605_UM_EFOY_Pro_GB_v04. Copyright by SFC Energy AG 2012. Subject to change without notice.

Other manuals for EFOY Pro 600

Related product manuals