EasyManua.ls Logo

Elo TouchSystems IDS ET3203L - Section 10: Appendix A

Elo TouchSystems IDS ET3203L
33 pages
Print Icon
To Next Page IconTo Next Page
To Next Page IconTo Next Page
To Previous Page IconTo Previous Page
To Previous Page IconTo Previous Page
Loading...
User Manual IDS ET3203L/ET4303L/ET5053L
UM600265 Rev. C, page 31 of 33
Section 10: Appendix A
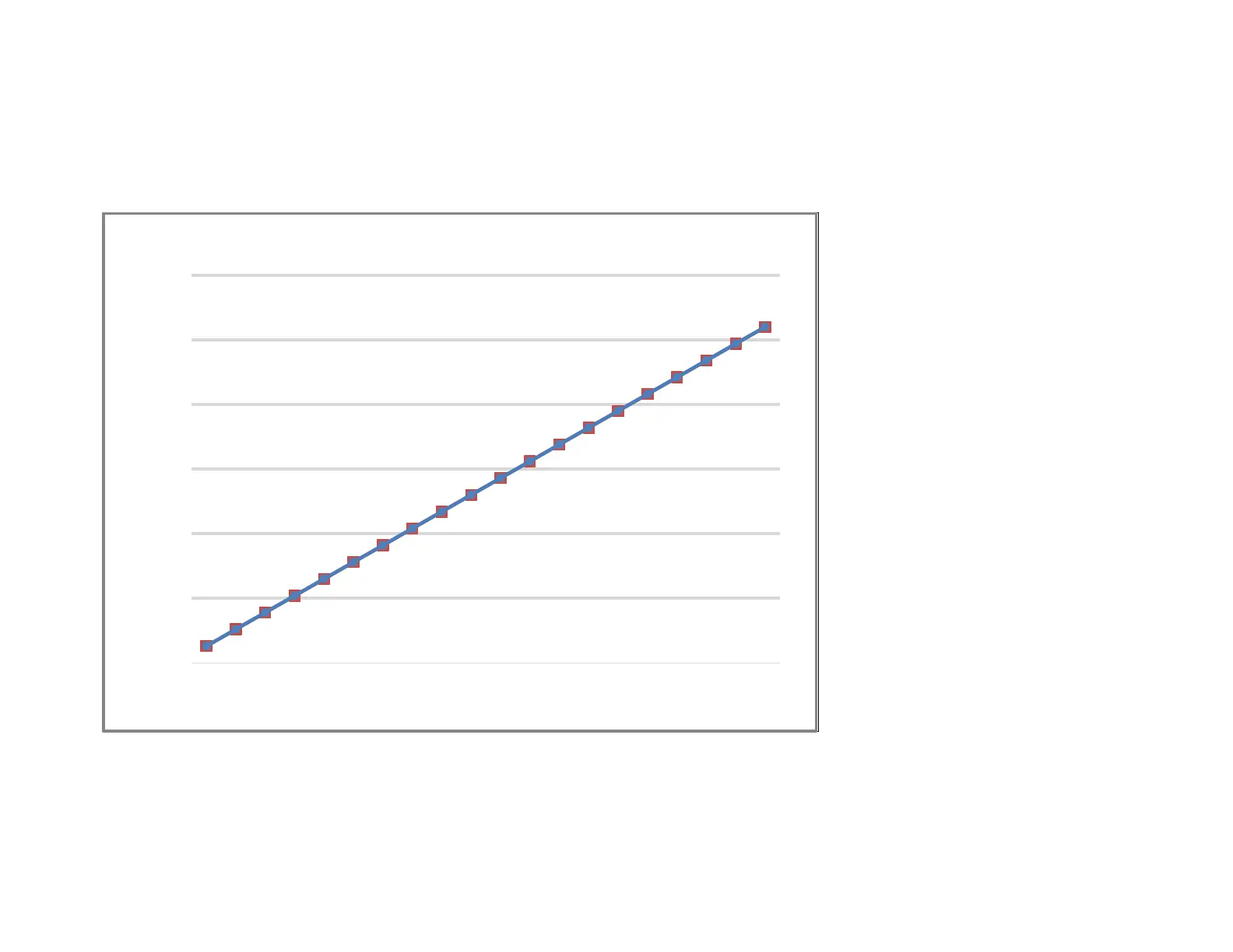
Light Sensor Curve
0
50
100
150
200
250
300
10 15 20 25 30 35 40 45 50 55 60 65 70 75 80 85 90 95 100 100
Brightness Curve
Brightness
Light Sensor Value

Related product manuals