EasyManua.ls Logo

Fancom F71 - Feed Composition Strategy

Default Icon
53 pages
Print Icon
To Next Page IconTo Next Page
To Next Page IconTo Next Page
To Previous Page IconTo Previous Page
To Previous Page IconTo Previous Page
Loading...
Lumina 71 Basic principles
8
3.2.2 Feed composition
The ideal feed amount and composition depend on the animals' weight and age. During the animal's life cycle the
system will gradually switch over from starter feed to transitional feed and then to finisher feed. The feed amount
also depends on the animals' age and weight. With multi-phase feeding a new feed composition (the ‘blend’) is
determined by the system every day. The transition from starter feed to transitional feed, for example, will take place
gradually. The starter feed will gradually be reduced and the transitional feed will gradually be increased. The
transition from transitional feed to finisher feed will also take place gradually. This ensures stable animal growth.
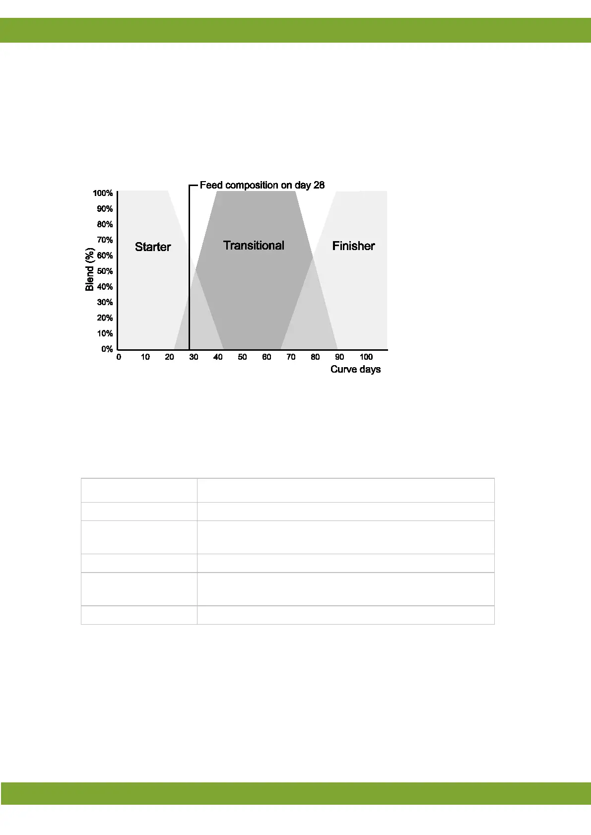
The transition from one feed type to the next is shown in the figure below:
Figure 5: The feed composition changes every day and is based on the animals’ age.
The above figure only concerns feed composition and not feed amount. The content of a certain feed type is
ndicated as a percentage. The feeding cycle starts with 100% starter feed. The blend starts to change on day 22:
the starter feed percentage is reduced and the transitional feed percentage is increased. During the transition from
starter feed to transitional feed the system adjusts the feed composition from day to day. From day 40 onwards, only
transitional feed is supplied. The table below is based on the figure and shows the feed composition during the life
cycle:
Feeding days
Feed composition
1-21 100% starter feed.
22-40 A blend of starter feed and transitional feed.
The starter feed is gradually decreased, the transitional feed in increased.
41-67 100% transitional feed.
68-86 A blend of transitional feed and finisher feed.
The transitional feed is gradually decreased, the finisher feed in increased.
87-103 100% finisher feed.
Example
The daily amount of feed to be given depends on the animals' life cycle. If the animals grow fast and consume
increasingly more feed, the feed amount will also quickly increase from day to day. When the animals are almost
fully grown, the feed amount increase is probably very small.
Only starter feed is given for the first 21 days (100%). However, the amount gradually increases: from 0.8 kg to 1.6
kg. The composition changes from day 22, when the system switches over to transitional feed. The total feed
amount keeps increasing. The following table shows the amounts for a number of days as examples.

Related product manuals