EasyManua.ls Logo

Faudi AFGUARD - Signal Output; Calibration

Faudi AFGUARD
41 pages
Print Icon
To Next Page IconTo Next Page
To Next Page IconTo Next Page
To Previous Page IconTo Previous Page
To Previous Page IconTo Previous Page
Loading...
Version 2.6
Operating instructions
AFGUARD
®
Zone 0 and Zone 1
Page: 22
of: 41
FAUDI Aviation GmbH, Scharnhorststraße 7 B, D-35260 Stadtallendorf
BA_AFGUARD_Ex_rev2.6_Englisch_l
ogo
Fuel with free water: Free water in Jet Fuel as fine dispersed second phase will be detected
as scattered light by receiver C. During the whole process, the self-checking functionality of
the electronics is ongoing.
Only water (water slug): If there is a water slug phase, the refraction index will change. This
results in another angle of light beam leaving the optics (A). Under this principle, it is easy to
differentiate between Jet Fuel and water. Additionally, AVGAS and Gas phases could be
determined.
Optional measuring of gas phases:
The AFGUARD
®
can detect gas phases. This can irritate the measurement signal as it
interferes with the free water content.
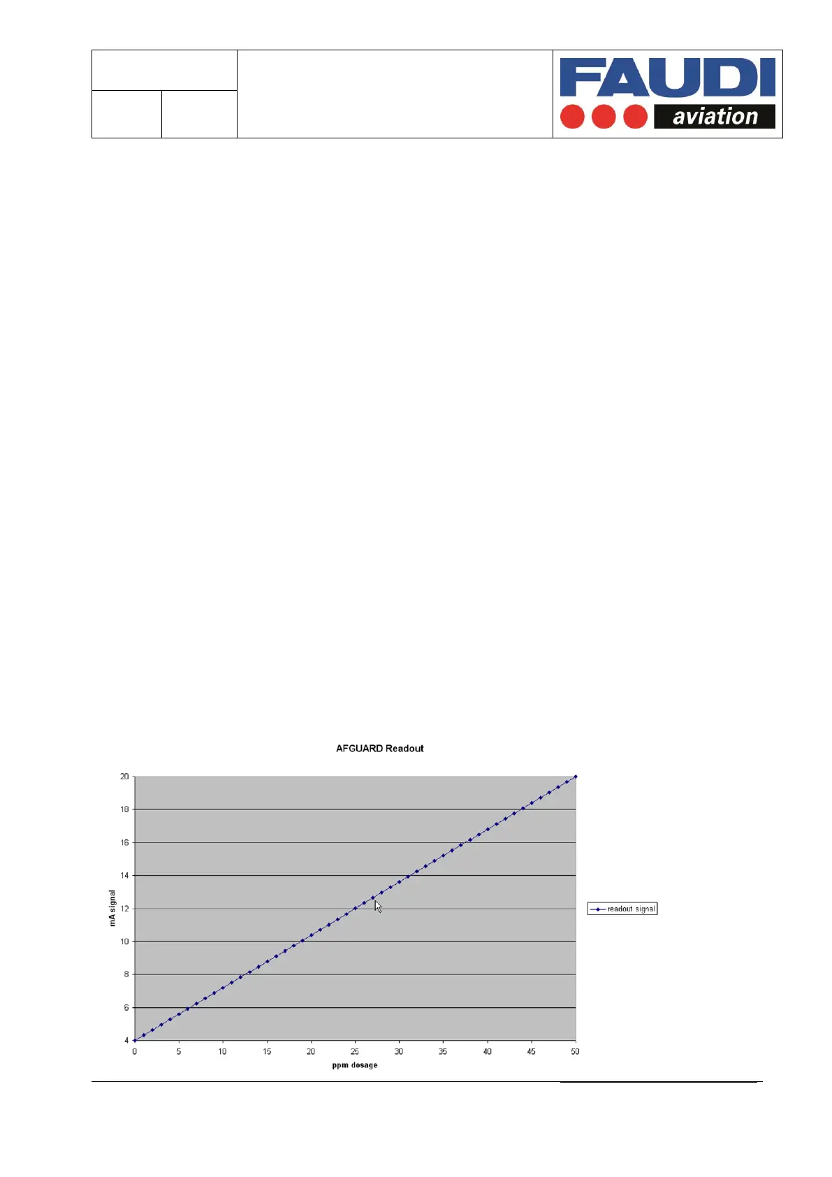
5.2 Signal output
The signal output of the AFGUARD
®
is 4 to 20 mA as according to worldwide standards.
Additionally, the AFGUARD
®
gives out a lower and upper signal:
Signal output: < 3.8 mA: Self Check (Electronics)
Signal output: 4 to 20 mA: Measuring range 0 to 50 ppm
Signal output: > 20.2 mA: Water slug, Gas phases
5.3 Calibration
The AFGUARD
®
leaves the factory calibrated to Jet A/Jet A1. FAUDI recommends checking
the AFGUARD
®
on a yearly basis (2 years after initial calibration).
In case there are no special requirements made for designated use of the AFGUARD
®
, the
AFGUARD
®
leaves the factory calibrated for 0 to 50 ppm Jet A1.
Other calibration curves could be asked for if needed.
Signal output (AFGUARD
®
readout curve depending on calibration status):

Related product manuals