EasyManua.ls Logo

Fronius Symo 3.7-3-S - Temporärer Fehler; Abnormales Verhalten

Fronius Symo 3.7-3-S
128 pages
Go to English
To Next Page IconTo Next Page
To Next Page IconTo Next Page
To Previous Page IconTo Previous Page
To Previous Page IconTo Previous Page
Loading...
17
DE
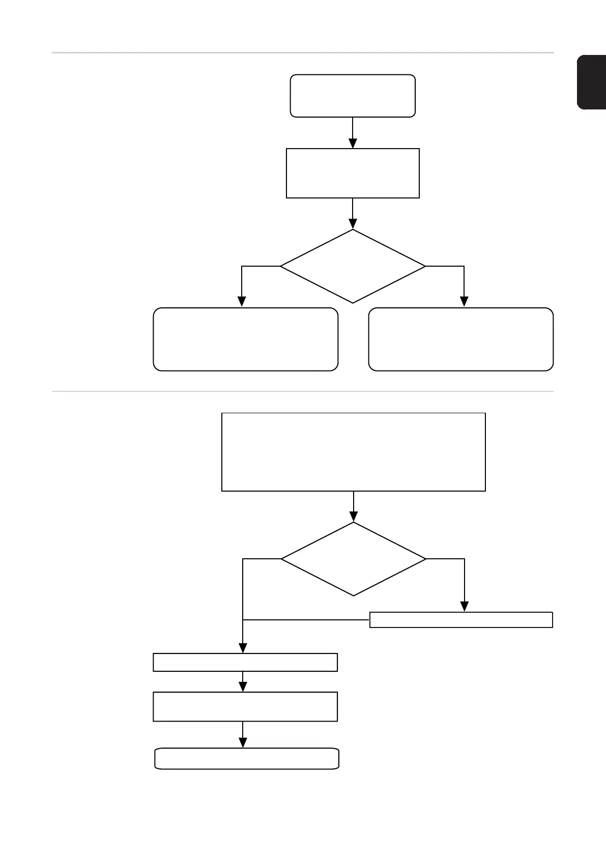
Temporärer Feh-
ler
Abnormales Ver-
halten
Wann tritt der Fehler auf?
Wechselrichter-Fehler unwahrschein-
lich (Überprüfe Netz, Solarmodule) -
Details siehe Fronius Service-Code
Liste
Wechselrichter-Fehler wahrscheinlich
(Print / Wechselrichter muss repariert
werden) - Details siehe Fronius Service
Code Liste
Zeigen andere Geräte
auch den Fehler?
JA NEIN
- Prüfe Netz
- Prüfe Menü TOTAL (WR)
- Prüfe Error Counter (WR)
- Prüfe Netzparameter (WR)
Fronius TechSupport kontaktieren
Fronius TechSupport kontaktieren
Eventlogging aktivieren
Verbindungstyp und Telefonnummer
bzw. IP Adresse
Fronius DATCOM
installiert?
JA NEIN
- Seit wann und wann tritt der Fehler auf?
- Wie viele Geräte sind betroffen?
- Details über Solarmodule (Stränge, Modulerdung,
dung, Montageart)
- Details über Verkabelung (DC und AC)
- Hard- und Software-Version

Table of Contents

Other manuals for Fronius Symo 3.7-3-S

Related product manuals