EasyManua.ls Logo

Gree GMV-Pdm224W/NaB-M - 2.15 DC Overvoltage Protection

Gree GMV-Pdm224W/NaB-M
233 pages
To Next Page IconTo Next Page
To Next Page IconTo Next Page
To Previous Page IconTo Previous Page
To Previous Page IconTo Previous Page
Loading...
DC Inverter Multi
VRF Service Manual
193
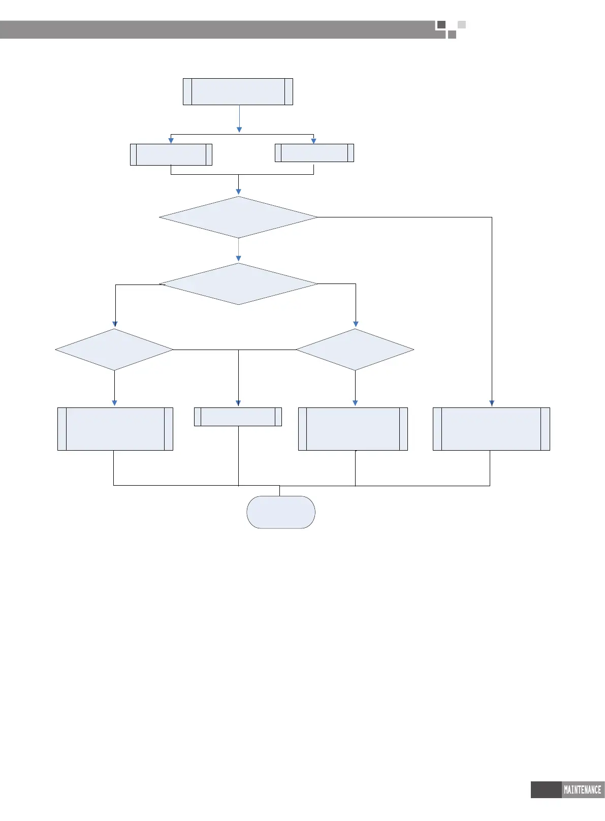
2�15 DC Overvoltage Protection
E5 is displayed on
the wired controller
Monitoring
display
Nixie tube of
mainboard
Yes
Yes
Yes
No
No
No
No
Yes
Is input voltage
within the running range
(185~264VAC)
Overvoltage
protection of DC bus
PH is displayed
It is recorded and
reflected
.
Does it
occur during running of
compressor?
How many
times does it occur
within 1 hour.
It is caused by interference,
Inspect wiring or interference
source . Take some actions
o prevent interference
Replace mainboard
It is caused by slowdown of
the compressor. If it always
happens, inspect the
compressor.
The voltage is too high.Please
cut off the power immediately
in case damaging the unit or
causing fire accident.
Does it occur
during frequency drop
of compressor?

Table of Contents

Related product manuals