EasyManua.ls Logo

Hisense LCD40V57CA - Function Key Troubleshooting

Hisense LCD40V57CA
57 pages
Print Icon
To Next Page IconTo Next Page
To Next Page IconTo Next Page
To Previous Page IconTo Previous Page
To Previous Page IconTo Previous Page
Loading...
- 38 -
LCD TV Service Manual
Hisense Confidential
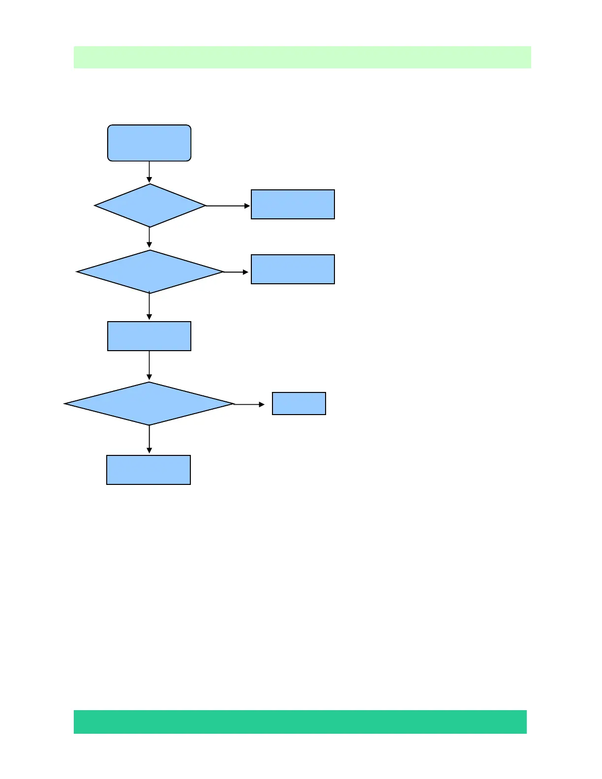
7.2 Troubleshooting for Function Key
Buttons does not work
Check switches
Check key board
Check Key BD cable
Change Key BD cable
Replace main board
Replace tact switch
Replace Key BD
OK
YES
YES
NO
YES
NO
NO

Related product manuals