EasyManua.ls Logo

Hisense LCD40V57CA - Video;S-Video;SCART Input Issues

Hisense LCD40V57CA
57 pages
Print Icon
To Next Page IconTo Next Page
To Next Page IconTo Next Page
To Previous Page IconTo Previous Page
To Previous Page IconTo Previous Page
Loading...
- 43 -
LCD TV Service Manual
Hisense Confidential
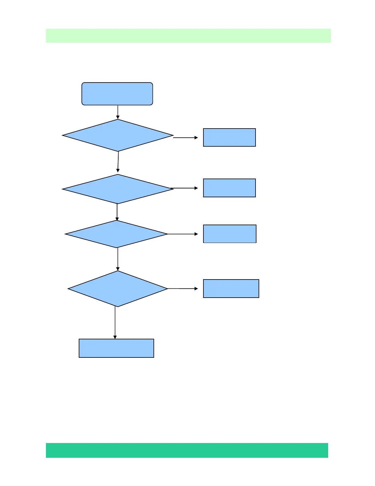
7.7 Troubleshooting for Video/S-Video/ SCART input
Replace SCART BD
Replace main board
NO
YES
No picture on the screen
Check Source work or not
Check connect
Check Cable/ Wires
Check Signal Source
Reconnect
Replace Cable/Wires
NO
YES
YES
NO
YES
NO
Check SCART BD

Related product manuals