EasyManua.ls Logo

Hisense LTDN40K366WCEU - 5.7 General Video Input Troubleshooting

Hisense LTDN40K366WCEU
53 pages
Print Icon
To Next Page IconTo Next Page
To Next Page IconTo Next Page
To Previous Page IconTo Previous Page
To Previous Page IconTo Previous Page
Loading...
- 34 -
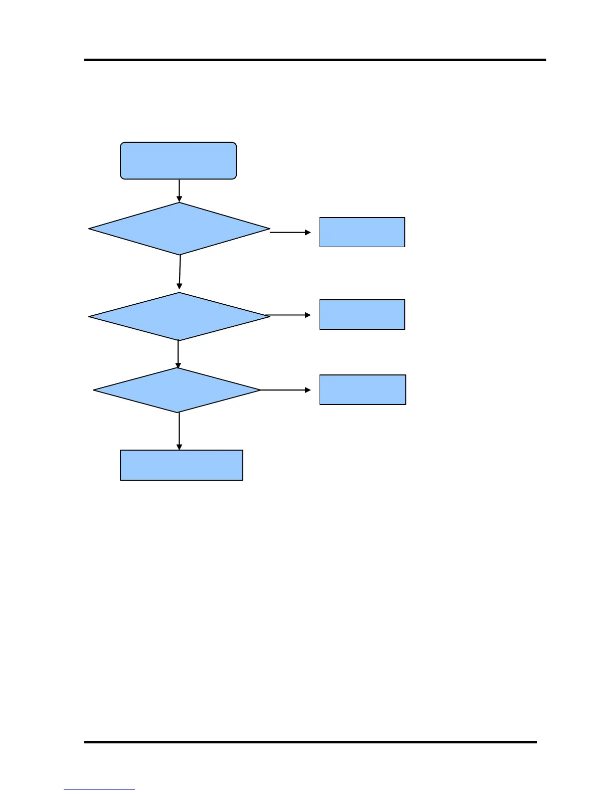
5.7 Troubleshooting for Video input
No picture on the screen
Check Source work or not
Check connect
Check Cable/ Wires
Replace main board
Check Signal Source
Reconnect
Replace Cable/Wires
NO
YES
YES
NO
YES
NO
6. Signals Block Diagram and power assign:
7. Schematic circuit diagram
8. Explode View

Related product manuals