EasyManua.ls Logo

Hisense MSD6586 - Troubleshooting Common Issues; Remote and Function Key Issues

Hisense MSD6586
66 pages
Print Icon
To Next Page IconTo Next Page
To Next Page IconTo Next Page
To Previous Page IconTo Previous Page
To Previous Page IconTo Previous Page
Loading...
- 42 -
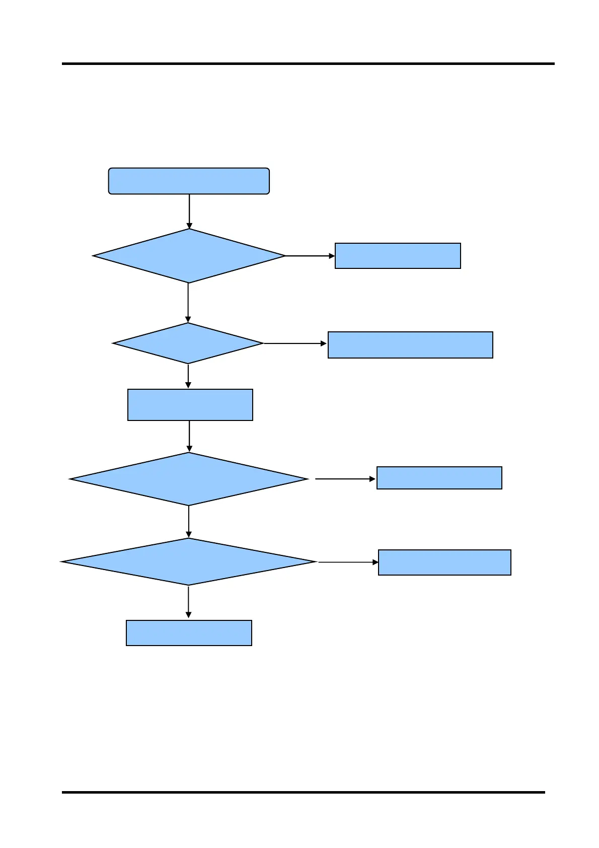
5. Trouble shooting
5.1 Troubleshooting for Remote Control
Remote control does not work
Try new batteries
Replace RC
Check IR receiver
Change Led & IR board
Change Led & IR cable
Replace main board
Replace battery
Replace remote control
Replace Led & IR BD
Replace Led & IR cable
YES
YES
NO
YES
NO
YES
NO

Table of Contents

Related product manuals