EasyManua.ls Logo

Hitachi 42HDT79/DW2-U - White Balance Adjustment OSD Flowchart Diagram

Hitachi 42HDT79/DW2-U
117 pages
Print Icon
To Next Page IconTo Next Page
To Next Page IconTo Next Page
To Previous Page IconTo Previous Page
To Previous Page IconTo Previous Page
Loading...
44
DW2U
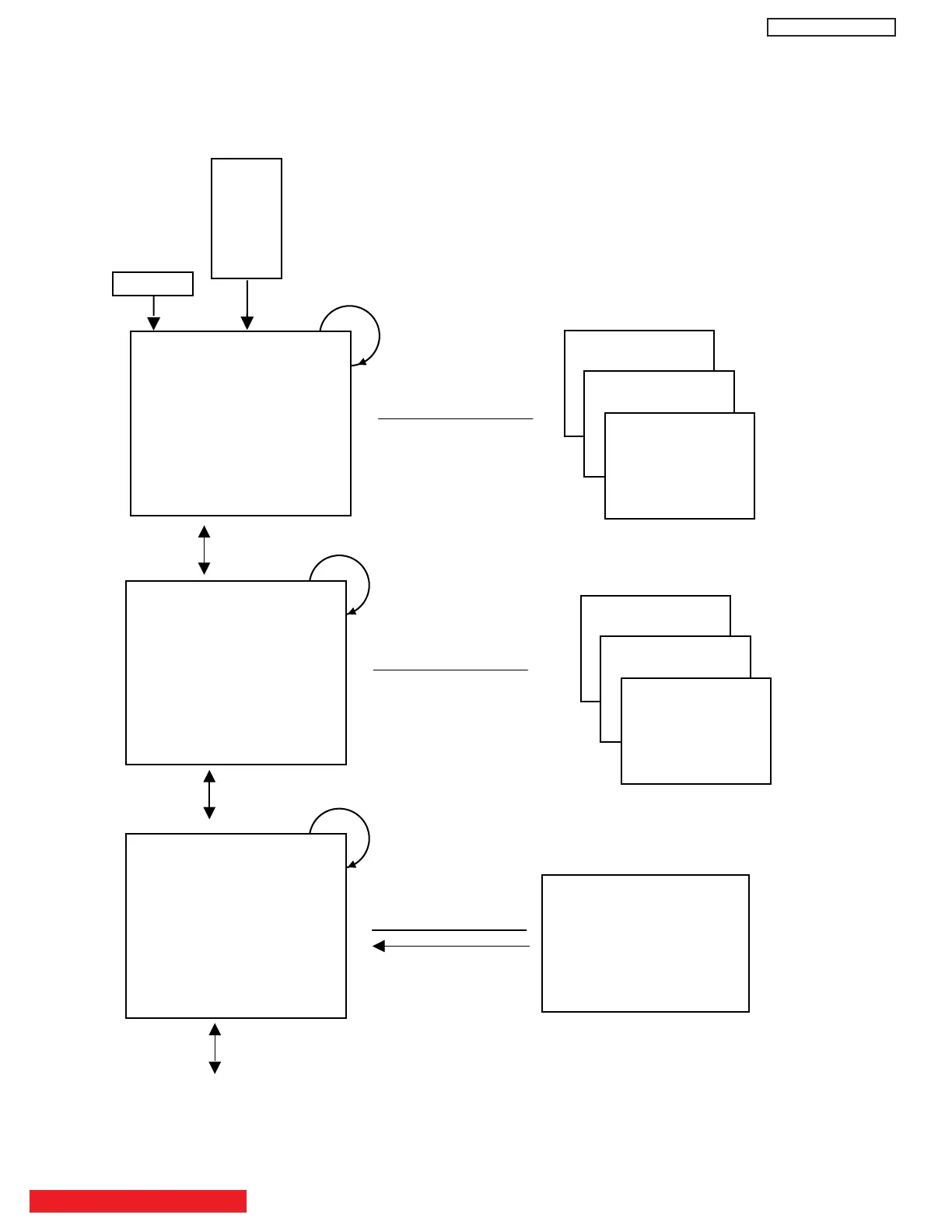
5.5 WHITE BALANCE ADJUSTMENT OSD FLOW DIAGRAM
BACK TO ADJUSTMENTS
5.5.1 Adjustment OSD Flowchart
(1) Adjust Mode OSD
JIG R/C code:9C or Press [MENU]+[MENU]+[8]+[SELECT] of Control panel.
MENU
+
MENU
+
8
+
SELECT
JIG Code
ADJUST MODE
FACT RESET
MEMORY INIT
RGB
WHITE BAL HIGH
WHITE BAL MED
WHITE BAL STD
WHITE BAL B/W
CH U/D, INPUT

ًٕ
ًٕ
ًٕ
 CYAN*

GREEN : Finish Normally

RED : Finish Abnormally



EXIT
Press
for 2 seg.
ADJUST MODE
FACT RESET
MEMORY INIT
RGB
WHITE BAL HIGH
WHITE BAL MED
WHITE BAL STD
WHITE BAL B/W
CH U/D, INPUT
ADJUST MODE
FACT RESET
MEMORY INIT
RGB
WHITE BAL HIGH
WHITE BAL MED
WHITE BAL STD
WHITE BAL B/W
CH U/D, INPUT
MAGENTA

GREEN : Finish Normally
RED : Finish Abnormally



Press for 2 seg.
Press
for 2 seg.
CH 3

Related product manuals