EasyManua.ls Logo

IBM XT 5160 - Page 365

IBM XT 5160
420 pages
Print Icon
To Next Page IconTo Next Page
To Next Page IconTo Next Page
To Previous Page IconTo Previous Page
To Previous Page IconTo Previous Page
Loading...
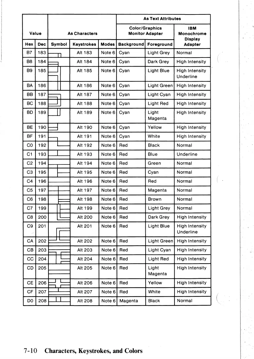
As
Text
Attributes
Color/Graphics
IBM
Value
As
Characters
Monitor
Adapter
Monochrome
Display
Hex
Dec
Symbol
Keystrokes
Modes
Background
Foreground
Adapter
B7
183
r-n
Alt
183
Note
6
Cyan
Light Grey
Normal
B8
184
===I
Alt
184
Note 6
Cyan
Dark Grey H
ig
h Intensity
---.J
' ,
B9
185
Alt
185
Note 6
Cyan
Light Blue High Intensity
I
Underline
BA
186
Alt
186
Note 6
Cyan Light Green High Intensity
BB
187
:::::::;l
Alt
187
Note
6 Cyan
Light Cyan
High Intensity
BC
188
d
Alt
188
Note 6
Cyan
Light Red
H
ig
h Intensity
BD
189
---lJ
Alt
189
Note 6
Cyan Light
High Intensity
Magenta
BE
190
d
Alt
190
Note 6 Cyan Yellow
High Intensity
BF
191
II
Alt 191 Note 6
Cyan White Hig h Intensity
CO
192
L-
Alt
192
Note 6 Red
Black
Normal
C1
193
I
Alt
193
Note 6 Red Blue Underline
C2
194
Alt
194
Note 6
Red
Green Normal
I
C3
195
~
Alt
195
Note 6 Red
Cyan
Normal
C4
196
Alt
196
Note 6 Red
Red Normal
C5
197
Alt
197
Note 6 Red
Magenta
Normal
C6
198
~
Alt
198
Note 6
Red
Brown
Normal
~
C7
199
I~
Alt
199
Note
6 Red
Light Grey
Normal
C8
200
lJ::=
Alt
200
Note 6 Red
Dark Grey
High Intensity
C9 201
rr==
Alt 201
Note
6 Red
Light Blue High Intensity
Underline
CA
202
~L-
Alt
202
Note
6 Red
Light Green
High Intensity
CB
203
Alt
203
Note 6 Red
Light Cyan Hig h
Intensity
r----,
r--
CC
204
I~
Alt
204
Note 6 Red
Light Red
H
ig
h Intensity
CD
205
Alt
205
Note
6 Red
Light High Intensity
Magenta
CE
206
~
L-
Alt
206
Note
6
Red
Yellow
Hig h Intensity
r---l
r-
CF
207
I
Alt
207
Note 6
Red
White
Hig h Intensity
DO
208
I
Alt
208
Note
6
Magenta
Black
Normal
7-10 Characters, Keystrokes, and Colors

Table of Contents

Related product manuals