EasyManua.ls Logo

InFocus INF5520 - Page 45

InFocus INF5520
63 pages
Print Icon
To Next Page IconTo Next Page
To Next Page IconTo Next Page
To Previous Page IconTo Previous Page
To Previous Page IconTo Previous Page
Loading...
OSD (On-Screen Display) Menu System Page 43
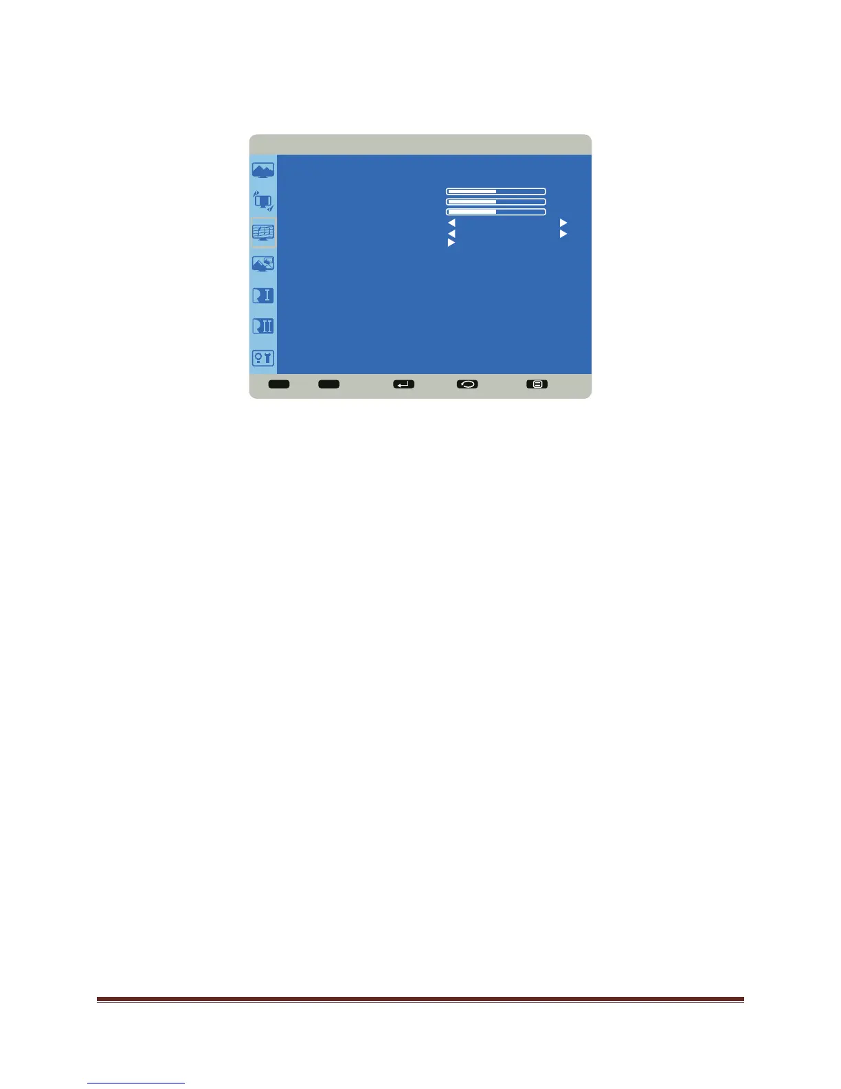
Audio menu
Balance: adjusts the balance between the left and right audio outputs. Range: 0-100.
(Default 50.)
Treble: adjusts higher pitched (treble) audio sounds. Range: 0-100. (Default 50.)
Bass: adjusts lower-pitched (bass) audio sounds. Range: 0-100. (Default 50.)
Speaker: controls whether both the internal and external speakers (sound bar, etc.) or just
external speakers are used. Options include: Internal (both internal and external speakers
operate) and External (only external speakers operate). Default Internal.
Audio Source: selects the audio input source. Options include: PC (default), Audio1,
Audio2 and HDMI
®
.
Audio Reset: resets all Audio menu items to factory default settings. Options: Yes and No.
Sel Adjust Enter Back Quit
< >
<
<
AUDIO
BALANCE
TREBLE
BASS
SPEAKER
AUDIO SOURCE
AUDIO RESET
INTERNAL
PC
50
50
50

Other manuals for InFocus INF5520