EasyManua.ls Logo

Interphase 50-200 - Understanding the Fish Finder Display; Digital Depth; Alarm Bar; Depth Ruler

Default Icon
35 pages
Print Icon
To Next Page IconTo Next Page
To Next Page IconTo Next Page
To Previous Page IconTo Previous Page
To Previous Page IconTo Previous Page
Loading...
12 User Manual
Digital Depth
Readout of the current bottom depth.
Water Temperature
Readout of the current water temperature returned by the TEMP 1 sensor
included into specific transducers.
Alarm Bar
Bars showing the shallow water and deep water alarm values. The alarm is
triggered when depth is outside the range.
Depth ruler
Vertical graduated bar. It is a scale which reflects the depth of the area being
displayed.
Variable Depth Marker (VDM)
Horizontal line on to the Fish Finder Display with a depth label. The up/down
cursor keys can move it up and down. The label displays the depth of the
cursor position. It can be moved to any location pinpointing the depth of a
target.
Zoom Bar
Bar showing the portion of the Fish Finder Display currently represented in
the zoomed window (on the left part of the screen). It is turned on selecting
Zoom Full display page.
A-Scope
A real time representation of fish and bottom features passing through the
beam of the transducer. It is drawn as horizontal lines whose length and hue
is proportional to the sonar strength returned. When the default palette is
selected, the strongest sonar returns will be shown as the color displayed of
the top of Color Bar while the weakest as the bottom color.
Operating Frequency
Readout of the selected operating frequency.
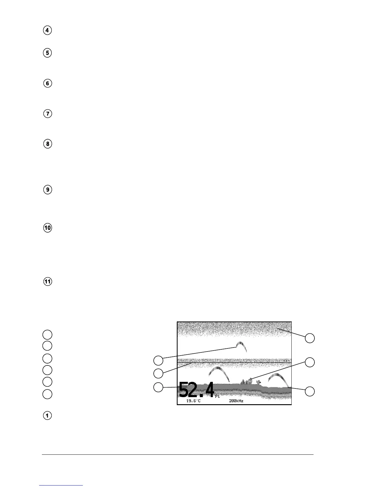
2.1.1 Understanding the Fish Finder Display
The main elements that can be easily distinguished into an Fish Finder Display are:
White Line
5
3
Thermoclines
2
4
Surface Clutter
Structures
Fishes
1
6
Bottom Echo Profile
1
4
3
2
6
5
Fig. 2.1.1 - The Fish Finder Display
Fish
Fish are represented as arcs because of the cone angle of the transducer. In
fact as the boat passes over the fish the leading edge of the cone strikes the

Table of Contents

Related product manuals