EasyManua.ls Logo

Janis CCS-150 - Page 97

Janis CCS-150
135 pages
Print Icon
To Next Page IconTo Next Page
To Next Page IconTo Next Page
To Previous Page IconTo Previous Page
To Previous Page IconTo Previous Page
Loading...
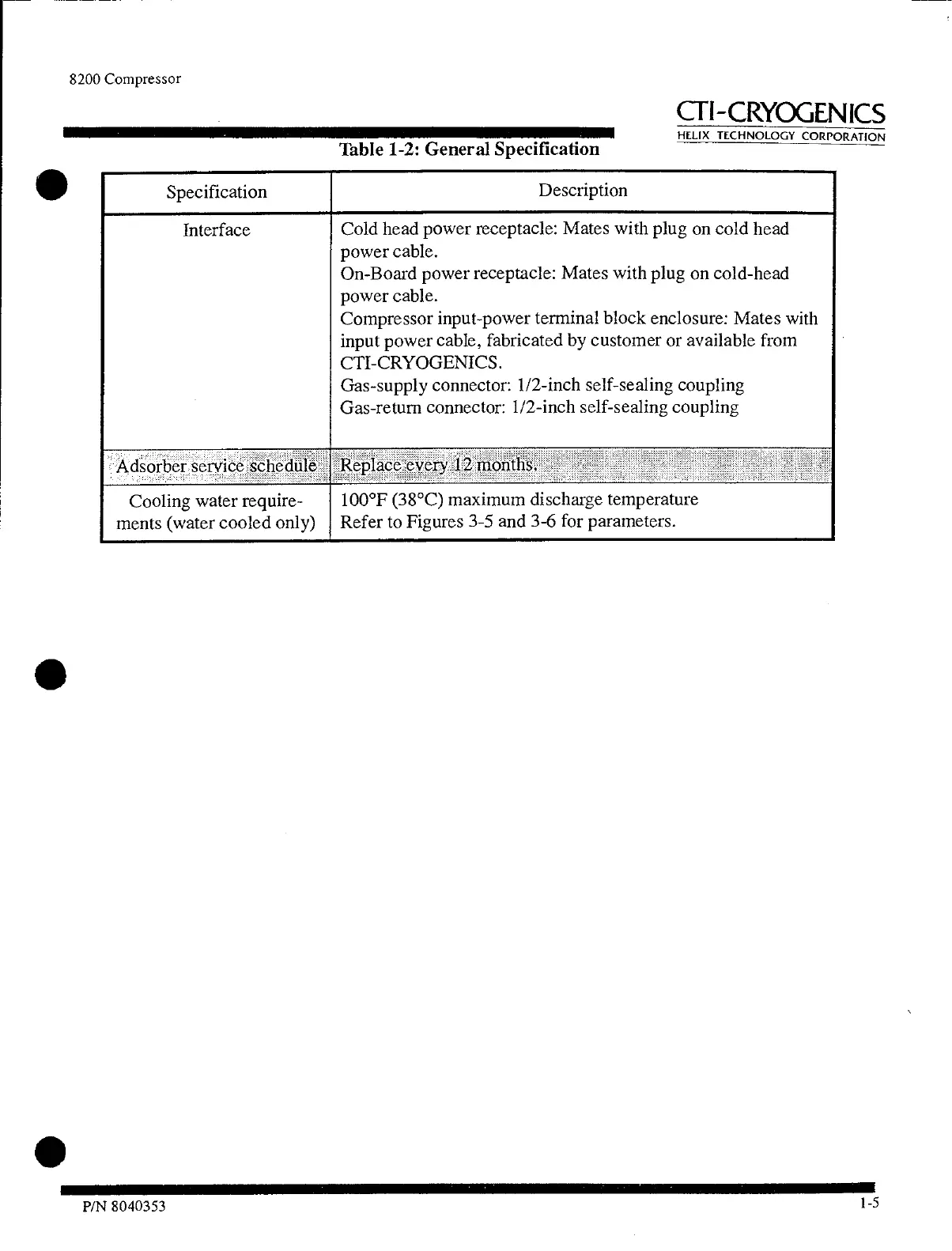
Description
Specification
Cold head power receptacle: Mates with plug on cold head
power cable.
On-Board power receptacle: Mates with plug on cold-head
power cable.
Compressor input-power terminal block enclosure: Mates with
input power cable, fabricated by customer or available from
CTI-CRYOGENICS.
Gas-supply connector: 1/2-inch self-sealing coupling
Gas-return connector: 1/2-inch self-sealing coupling
Interface
AdsOrber. serviceschedulr:
-
Replace every 12 months.
Cooling water require-
ments (water cooled only)
100°F (38°C) maximum discharge temperature
Refer to Figures 3-5 and 3-6 for parameters.
8200 Compressor
CTI-CRYOGENICS
HELIX TECHNOLOGY CORPORATION
Table 1-2: General Specification
P/N 8040353
1-5

Related product manuals