EasyManua.ls Logo

Keithley 3700A Series - Page 679

Keithley 3700A Series
936 pages
Print Icon
To Next Page IconTo Next Page
To Next Page IconTo Next Page
To Previous Page IconTo Previous Page
To Previous Page IconTo Previous Page
Loading...
Section 11: TSP command reference Series 3700A System Switch/Multimeter Reference Manual
11-300 3700AS-901-01 Rev. D/June 2018
Details
If startIndex is set to less than 1 or if endIndex is more than the size of the index, 9.910000e+37
is returned for each value outside the allowed index and an event is generated.
If overlapped commands use the specified reading buffers and the commands are not complete (at
least to the specified index), this function outputs data as it becomes available.
When there are outstanding overlapped commands to acquire data, n refers to the index that the last
entry in the table has after all the readings have completed.
If you pass a reading buffer instead of a reading buffer subtable, the default subtable for that reading
buffer is used.
This command generates a single response message that contains all data.
The output of printbuffer() is affected by the data format selected by format.data. If you set
format.data to format.REAL32 or format.REAL64, you have fewer options for buffer elements.
With these formats, the only buffer elements available are readings, relativetimestamps, and
extravalues. If you request a buffer element that is not permitted for the selected data format, the
instrument returns 9.91e37.
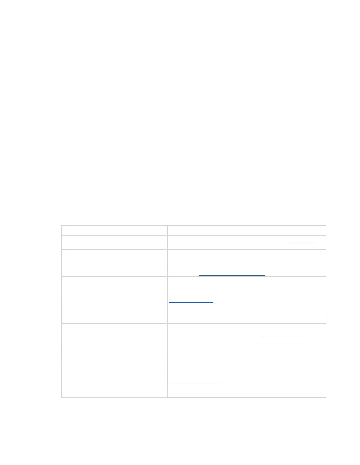
You can use the bufferVar attributes that are listed in the following table with the print buffer
command. For example, if testData is the buffer, you can use testData.dates attribute to print
the date of each reading in the testData buffer.
You can use bufferVar.n to retrieve the number of readings in the specified reading buffer.
Attribute
Description
bufferVar.n
The number of readings in the specified buffer; see bufferVar.n
(on page 11-28)
bufferVar.dates
The dates of readings stored in the reading buffer; see
bufferVar.dates
bufferVar.formattedreadings
The stored readings formatted as they appear on the front-panel
display; see bufferVar.formattedreadings (on page 11-26)
bufferVar.fractionalseconds
The fractional portion of the timestamp (in seconds) of when each
reading occurred; see bufferVar.fractionalseconds
bufferVar.readings
The readings stored in a specified reading buffer; see
bufferVar.readings (on page 11-29)
bufferVar.relativetimestamps
The timestamps, in seconds, when each reading occurred relative
to the timestamp of reading buffer entry number 1; see
bufferVar.relativetimestamps
bufferVar.seconds
The nonfractional seconds portion of the timestamp when the
reading was stored in UTC format; see bufferVar.seconds (on
page 11-32)
bufferVar.statuses
The status values of readings in the reading buffer; see
bufferVar.statuses
bufferVar.times
The time when the instrument made the readings; see
bufferVar.times
bufferVar.timestamps
The timestamps of readings stored in the reading buffer; see
bufferVar.timestamps (on page 11-36)
bufferVar.units
The unit of measure that is stored with readings in the reading
buffer; see bufferVar.units

Table of Contents

Other manuals for Keithley 3700A Series

Related product manuals