EasyManua.ls Logo

Lennox MMA018SM4 - Page 13

Lennox MMA018SM4
88 pages
Print Icon
To Next Page IconTo Next Page
To Next Page IconTo Next Page
To Previous Page IconTo Previous Page
To Previous Page IconTo Previous Page
Loading...
13
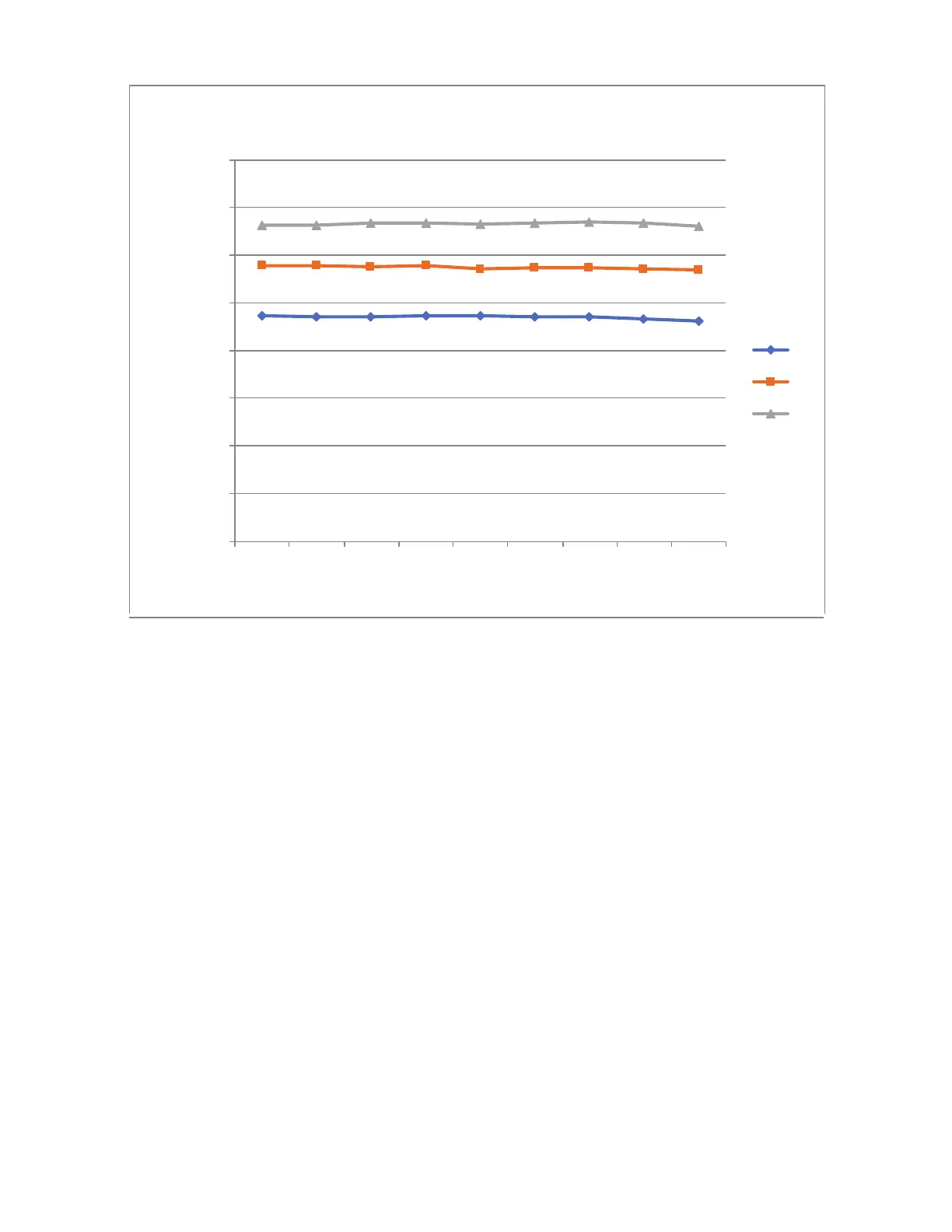
2.6.4. MMA048
0
200
400
600
800
1000
1200
1400
1600
00.1 0.1480.2 0.30.4 0.50.6 0.8
Air flow rate(CFM)
External stac pressure (in.w.c.)
48K
L
M
H

Table of Contents

Related product manuals