EasyManua.ls Logo

Lennox XC20-036-230-01 - High Pressure Switch (S4) Sequence of Operation (All Versions)

Lennox XC20-036-230-01
78 pages
Print Icon
To Next Page IconTo Next Page
To Next Page IconTo Next Page
To Previous Page IconTo Previous Page
To Previous Page IconTo Previous Page
Loading...
52
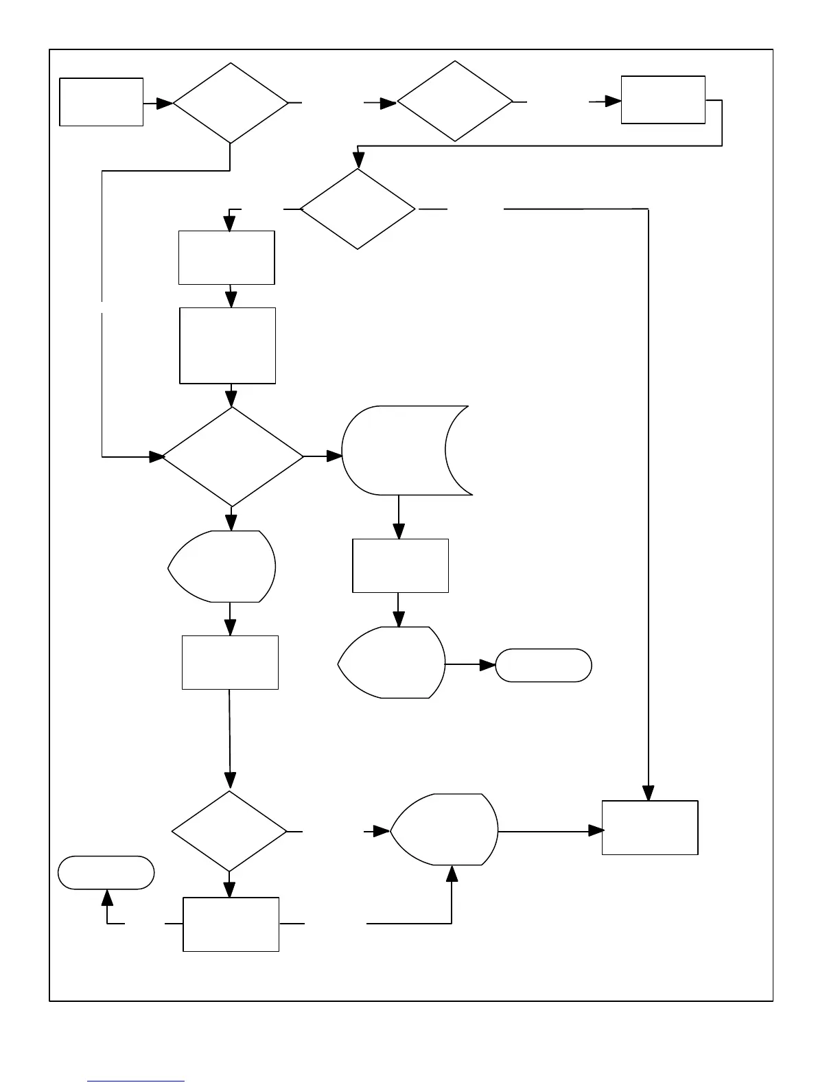
XC20
Y1 DEMAND
HIGH
PRESSURE
SWITCH (S4)
CONTACTOR
ENERGIZED
HIGH
PRESSURE
SWITCH (S4)
CONTACTOR
DE-ENERGIZED
ANTI-SHORT
CYCLE TIMER
BEGINS
INCREMENT
5-STRIKE
COUNTER
1
LED ALERT
CODE / OR
MODERATE
ALERT 412
DISPLAYED
ANTI-SHORT
CYCLE TIMER
ENDS
HIGH
PRESSURE
SWITCH (S4)
WAITING FOR
PRESSURE
SWITCH TO
CLOSE
5-STRIKE
COUNTER
REACHES 5
WITHIN A SINGLE
Y1 DEMAND
HIGH
PRESSURE
SWITCH (S4)
LOCKOUT
LED ALERT
CODE / OR
CRITICAL
ALERT 413
CLEARED
SERVICE
REQUIRED
2
LED ALERT
CODE / OR
MODERATE
ALERT 412
DISPLAYED
NORMAL
OPERATION
CLOSED
CLOSED
OPEN
OPEN
OPEN
CLOSED
CLOSED
TOP CAP
SWITCH (S173)
CLOSED
SERVICE
REQUIRED
2
1. The thermostat terminates demand when the contactor is
de-energized. If demand is satisfied when alarm is not active, the
5-strike counter resets.
2. Lockouts can be reset by cycling power off to the outdoor control
(A175) R terminal.
Figure 29. High Pressure Switch (S4) Sequence of Operation (All Versions)

Table of Contents

Related product manuals