EasyManua.ls Logo

LG 60PCLD - Page 57

LG 60PCLD
68 pages
Print Icon
To Next Page IconTo Next Page
To Next Page IconTo Next Page
To Previous Page IconTo Previous Page
To Previous Page IconTo Previous Page
Loading...
18. ISM Method (Command2:p)
To avoid having a fixed image remain on screen.
Transmission
j][p][ ][Set ID][ ][Data][Cr] i
Data 1: Inversion
2: Orbiter
4: White Wash
8: Normal
Acknowledgement
[p][ ][Set ID][ ][OK][Data][x] i
19. Low Power (Command2:q)
II_ To control the Low Power function on/off.
You can also adjust Low Power in Option menu.
Transmission
j ][q][ ][Set ID][ ][Datal[Cr] i
Data 0: Low Power off
1: Low Power on
Acknowledgement
][Set ID][ ][OK][Data][x] 1
[q][
Reference
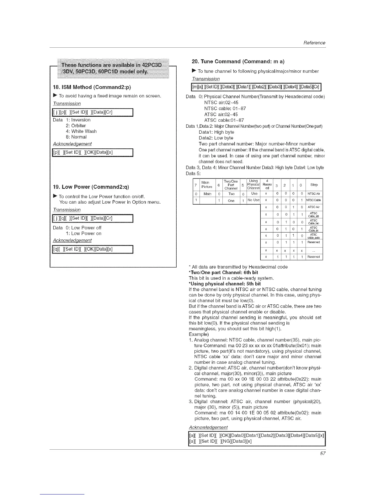
20. Tune Command (Command: m a)
To tune channel to following physical/major/minor number
Transmission
I[m][a][][Set ID][][Data0][][Data1][][Data2][][Data3][][Data4][][DataS][Cr]
Data 0: Physical Channel Number(Transmit by Hexadecimal code)
NTSC air:02~45
NTSC cable: 01 ~87
ATSC air:02~45
ATSC cable:01 ~87
Data 1,Data 2: MajorChannelNumber(twopart)or ChannelNumber(Onepart)
Data1: High byte
Data2: Low byte
Two part channel number: Major number-Minor number
One part channel number: If the channel band is ATSC digital cable,
it can be used. In case of using one part channel number, minor
channel does not need.
Data 3, Data 4: Minor Channel Number Data3: High byte Data4: Low byte
Main Two/One
Picture 6 Part 3 2 Step
Channel
Main 0 Two 0 0 NTSC Air
1 One 0 O NTSCCable
0 0 ATSCAir
0 0
0 1
0 1
0 1
0 1
x X
1 1
Data 5:
Using 4
5 Physbal P_s_w
3hannel ed
0 Use x
1 No Use x
x
x
x
x
x
x
x
x
1 o
o o
o 1
1 o
1 1
o o
o 1
1 o
1 1
x x
1 1
ATSC
Ca_ sFd
ATSC
C_t_c
ATSC
Q&te irc
ATSC
caLle auto
Reserved
Reserved
* All data are transmitted by Hexadecimal code
*Two/One part Channel: 6th bit
This bit is used in a cable-ready system.
*Using physical channel: 5th bit
if the channel band is NTSC air or NTSC cable, channel tuning
can be done by only physical channel. In this case, using phys-
ical channel bit must be low(0).
But if the channel band is ATSC air or ATSC cable, there are two
cases that physical channel enable or disable.
If the physical channel sending is meaningful, you should set
this bit low(0). If the physical channel sending is
meaningless, you should set this bit high(1 ).
Example)
1. Analog channel: NTSC cable, channel number(35), main pic-
ture Command: ma 00 23 xx xx xx xx 01attribute(0x01 ): main
picture, two part(it's not mandatory), using physical channel,
NTSC cable 'xx' data: don't care major and minor channel
number in case analog channel tuning.
2. Digital channel: ATSC air, channel number(don't know physi-
cal channel, major(30), minor(3)), main picture
Command: ma 00 xx 00 1E 00 03 22 attribute(0x22): main
picture, two part, not using physical channel, ATSC air 'xx'
data: don't care analog channel number in case digital chan-
nel tuning.
3. Digital channel: ATSC air, channel number (physical(20),
major (30), minor (5)), main picture
Command: ma 00 14 00 1E 00 05 02 attribute(0x02): main
picture, two part, using physical channel, ATSC air.
Acknowledgement
[a][ ][Set ID][ ][OK][Data0][Datal][Data2][Data3][Data4][Data5][x]]
[a][ ][Set ID][ ][NG][Data0][x] j
57

Related product manuals