EasyManua.ls Logo

LI-COR LI-830 - Calibration and Broadening Equations

LI-COR LI-830
50 pages
Print Icon
To Next Page IconTo Next Page
To Next Page IconTo Next Page
To Previous Page IconTo Previous Page
To Previous Page IconTo Previous Page
Loading...
Appendix A. Equation Summary
H
2
O Equations (LI-850 only)
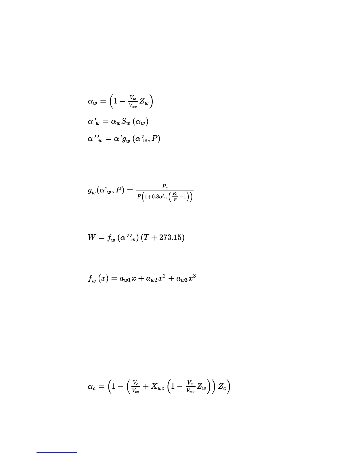
Absorptance
α
ω
for water vapor is computed from
A-6
where V
w
and V
wo
are the sample and reference raw detector readings, and Z
w
is
the zero parameter. The pressure correction for water vapor is an empirical func-
tion g
w
() of absorptance and pressure P:
A-7
The value of P
o
is 99 kPa. When the pressure correction is not enabled, g
w
() is
simply 1.0. Water vapor concentration W (mmol mol
-1
) is computed from
A-8
where f
w
(x) is a third order polynomial whose coefficients are given on the cal-
ibration sheet.
A-9
CO
2
Equations
The measurement of CO
2
is a bit more complicated than for H
2
O because of the
influence of water vapor. There is a slight direct cross sensitivity in the CO
2
signal
to H
2
O. This is measured at the factory and accounted for in the computation of
absorptance (equation A-10). There is also a band broadening effect that is accoun-
ted for in the computation of concentration (equation A-14).
CO
2
absorptance
α
c is computed from
A-10
A-2 Using the LI-830 and LI-850 Gas Analyzers

Other manuals for LI-COR LI-830

Related product manuals