EasyManua.ls Logo

LI-COR LI-830 - Equation Summary; CO2 and H2 O Measurement Equations

LI-COR LI-830
50 pages
Print Icon
To Next Page IconTo Next Page
To Next Page IconTo Next Page
To Previous Page IconTo Previous Page
To Previous Page IconTo Previous Page
Loading...
A-1Using the LI-830 and LI-850 Gas Analyzers
Appendix A.
Equation Summary
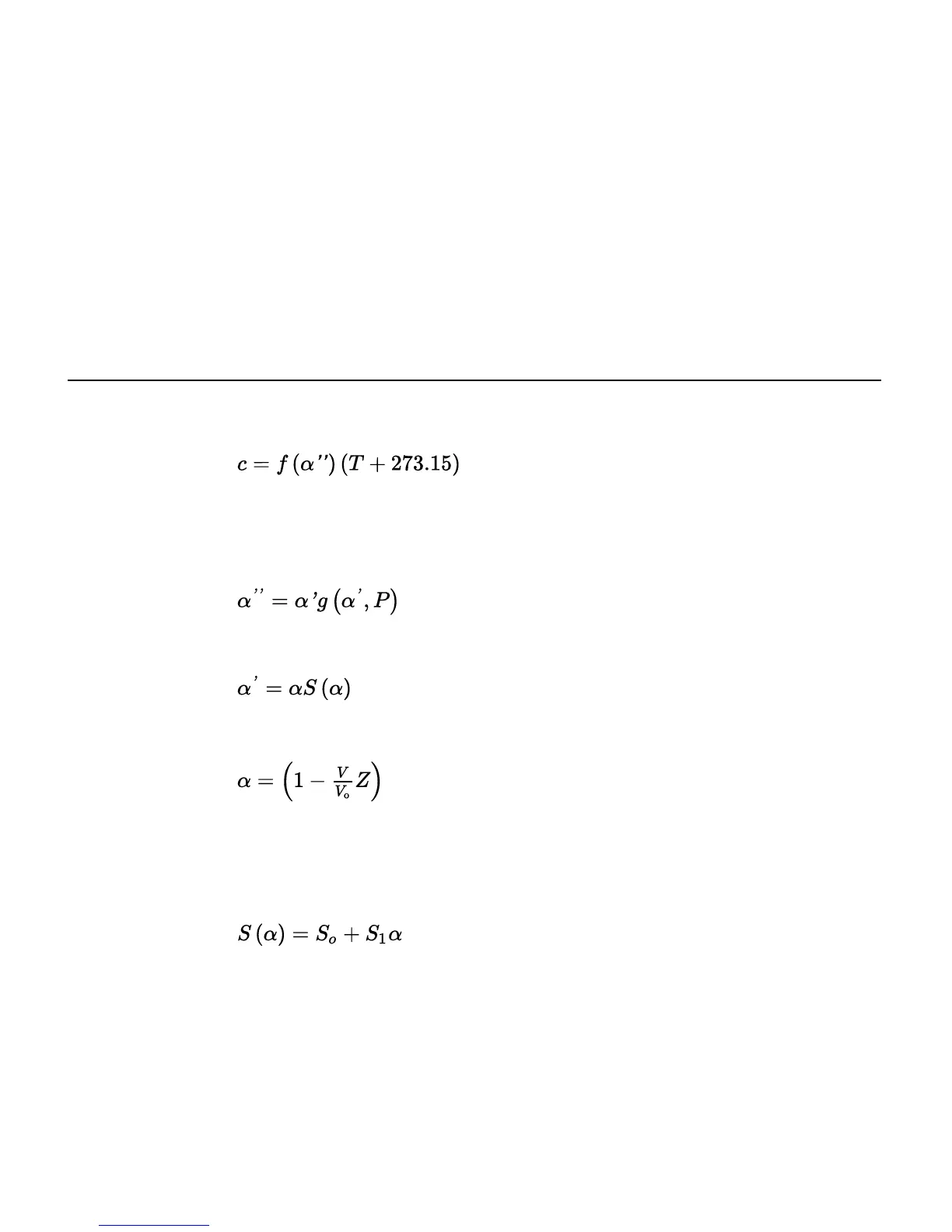
The LI-830 and LI-850 compute CO
2
concentrations using an equation of the form
A-1
where c is concentration, f() is the calibration function,
α
" is the absorptance, g
(
α
,P) is the pressure correction, S(
α
) is the span, and T is the temperature (°C) of
the gas in the cell, typically 51.5 °C. Absorptance is computed from
A-2
α
' is a span corrected absorptance, and g(
α
',P) is the pressure correction.
A-3
S(
α
) is the span function, and raw absorptance
α
is computed from
A-4
where V and V
o
are the raw detector sample and reference readings, and Z is the
zeroing parameter.
Span is a linear function of absorptance.
A-5

Other manuals for LI-COR LI-830

Related product manuals