EasyManua.ls Logo

LI-COR LI-830 - Page 38

LI-COR LI-830
50 pages
Print Icon
To Next Page IconTo Next Page
To Next Page IconTo Next Page
To Previous Page IconTo Previous Page
To Previous Page IconTo Previous Page
Loading...
Appendix A. Equation Summary
A-14
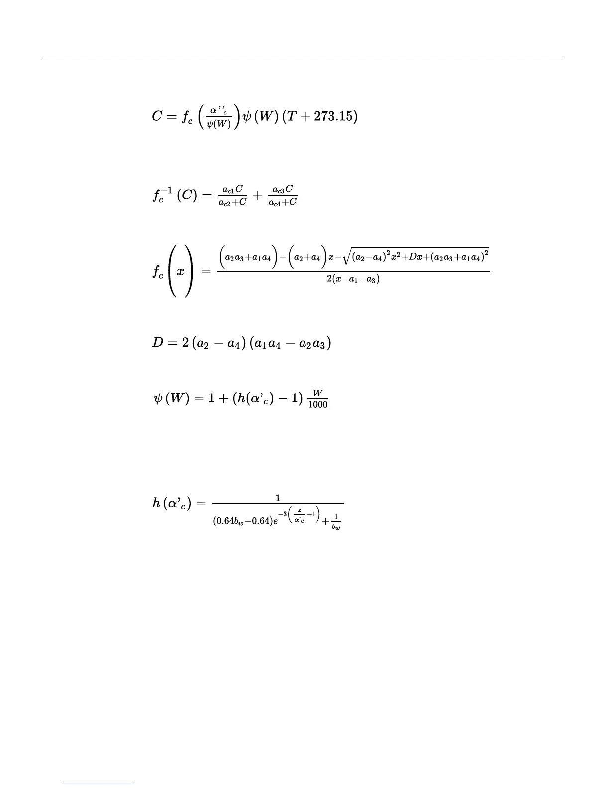
where f
c
(x) is a function whose inverse is a double rectangular hyperbola, and
whose coefficients (a1a4) are given on the calibration sheet.
A-15
Solving equation A-15 for C yields the calibration function
A-16
Where
A-17
ψ (W) accounts for band broadening by water vapor.
A-18
The band broadening coefficient h(
α
'
c
) has been determined to be 1.45 for the
instrument for CO
2
concentrations near ambient. At higher concentrations, the
value decreases. We capture this behavior with an empirical relationship (equation
A-19).
A-19
Where z is from equation A-12, and b
w
is the low concentration band broadening
coefficient: 1.45. This is the value shown on the calibration sheet as BB = 1.45.The
typical relationship between h(
α
'
c
) and CO
2
concentration is shown in Figure A-1
on the facing page. (‘Typical’ because the exact relationship depends on the rela-
tionship between absorptance and CO
2
, which is the calibration curve.)
A-4 Using the LI-830 and LI-850 Gas Analyzers

Other manuals for LI-COR LI-830

Related product manuals