EasyManua.ls Logo

LI-COR LI-830 - Page 40

LI-COR LI-830
50 pages
Print Icon
To Next Page IconTo Next Page
To Next Page IconTo Next Page
To Previous Page IconTo Previous Page
To Previous Page IconTo Previous Page
Loading...
Appendix A. Equation Summary
A-21
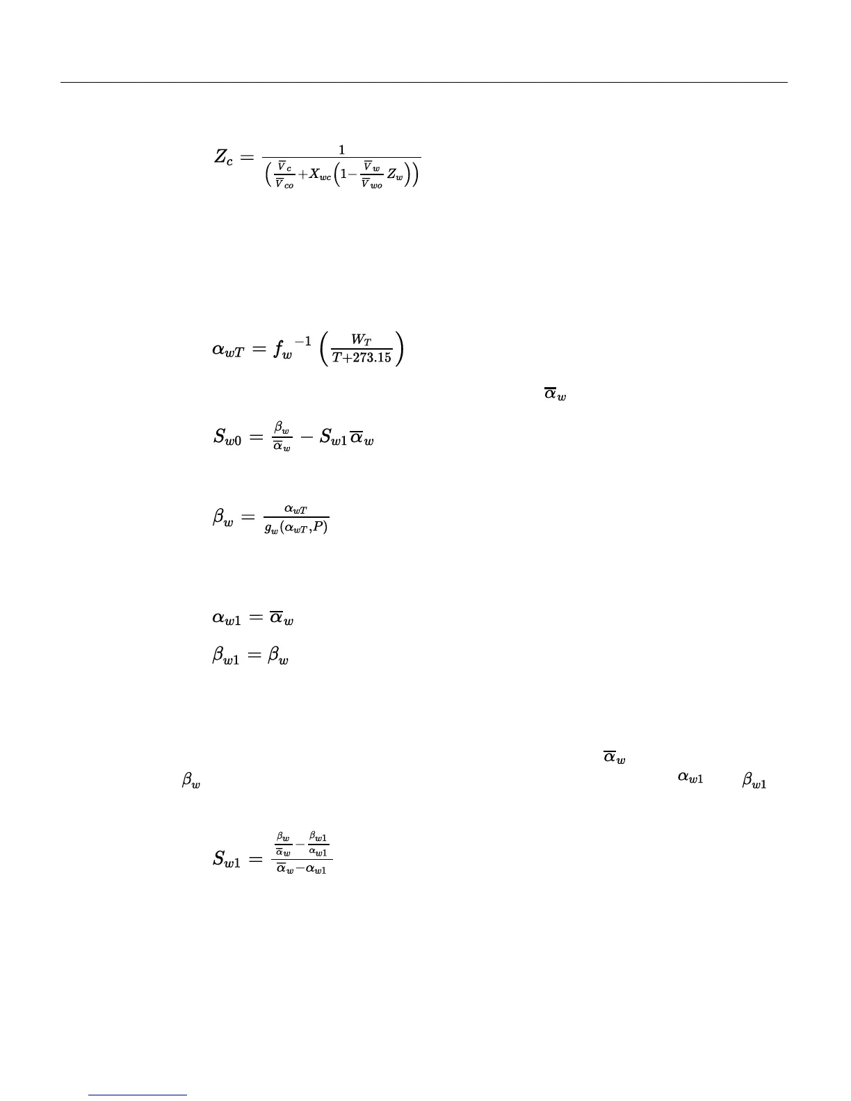
Spanning H
2
O (LI-850 only)
When the command for setting the span for H
2
O is received, along with the target
concentration W
T
, from the target concentration, the target absoprtance
α
T
is com-
puted from
A-22
LI-850 computes S
w0
from equation A-23 , where is averaged over five seconds.
A-23
where
A-24
The instrument retains the following values, which are used for subsequent sec-
ondary spans:
A-25
Secondary Span H
2
O (LI-850 only)
When the secondary span command for H
2
O is received, the instrument computes
new values for both S
w0
and S
w1
. First, it measures a new and computes a new
from equation A-24. Then, it uses these plus the retained values ( and
from the previous normal span) to compute
A-26
Given the new span slope S
w1
, it updates the span offset S
w0
by equation A-23.
A-6 Using the LI-830 and LI-850 Gas Analyzers

Other manuals for LI-COR LI-830

Related product manuals