EasyManua.ls Logo

LinearX LT360 - Page 3

LinearX LT360
44 pages
Print Icon
To Next Page IconTo Next Page
To Next Page IconTo Next Page
To Previous Page IconTo Previous Page
To Previous Page IconTo Previous Page
Loading...
LT360 Precision Turntable
User Manual
LT360 Precision Turntable
User Manual
3
License Agreement and Limited Warranty
Carefully read all of the following terms and conditions of this agreement before opening and
using the contents of this package. The opening of this package indicates your acceptance of the
terms and conditions of this license agreement. If you are not willing to accept the terms and
conditions of this agreement, then you should return the entire product, with the package seal
unbroken, to the place of purchase for a full refund of the purchase price.
Copyright Ownership
Both the program and the documentation are protected under applicable copyright laws. LinearX is the holder of this
copyright. Your right to use the program and the documentation are limited to the terms and conditions described herein.
Use of the software unless pursuant to the terms and conditions of this license, or as otherwise authorized by law, is an
infringement of the copyright.
Limited Non-Exclusive License
You may: (a) use the enclosed program on a single computer, (b) physically transfer the program from one computer to
another provided that the program is used on only one computer at a time, and that you remove any copies of the program
from the computer from which the program is being transferred, (c) make copies of the program solely for backup or archival
purposes. You must reproduce and include the copyright notice and label any backup copy.
You may not: (a) distribute copies of the program or the documentation to others, (b) lease, rent, grant sublicenses, or other
rights to the program, (c) provide use of the program in a computer service business, network, time-sharing multiple CPU or
multiple users arrangement without the prior written consent of LinearX, (d) translate or otherwise alter the program or
related documentation without the prior written consent of LinearX.
Terms
Your license to use the program and the documentation will automatically terminate if you fail to comply with the terms of this
agreement. Your license terminates in the event that you receive a license for an updated version of the product that
replaces this product. If a license expiration date is printed on your documentation, or provided through other means such
as a time limited electronic or software key, your license expires on the day as shown in the documentation, or on the day that
the electronic or software key expires. If this license is terminated you agree to destroy all copies of the program and
documentation.
86
Power Supply
Power/Type 50W, Universal PFC SMPS
Line Voltage World-Wide 85-265VAC
Line Frequency 50/60Hz
Line Current Sinusoidal, < 10% THD
Switching Freq 150kHz, Spread Spectrum
Standards (TBA, designed to meet)
IEC 60950/61010, UL-1950
CISPR-22, FCC Class-B,
Connector IEC-320 Universal AC Inlet
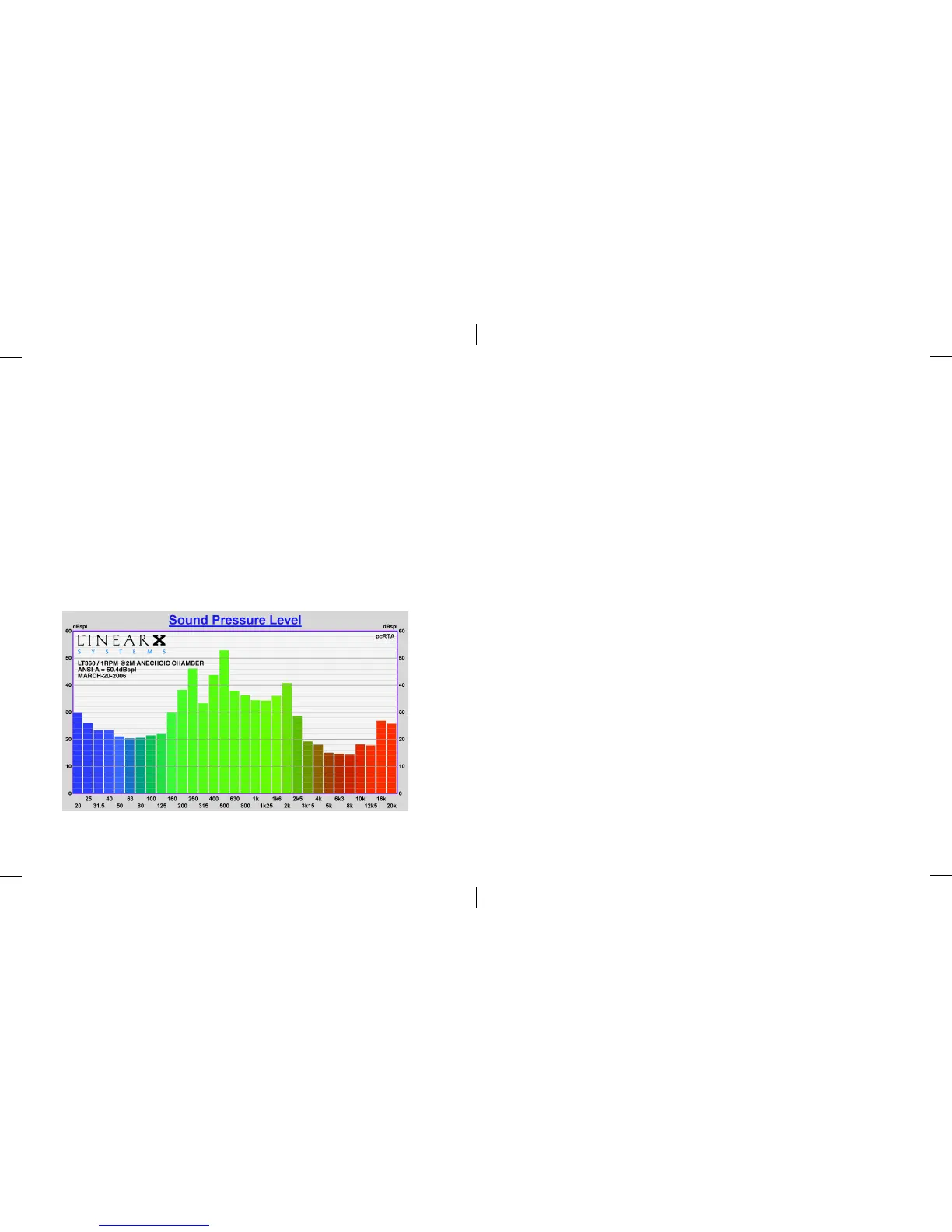
Acoustic Noise
Broadband 50.4dBspl @ 2M, 1 RPM, ANSI-A Weighted
Spectrum 1/3 Octave density shown below

Other manuals for LinearX LT360