EasyManua.ls Logo

Lovibond BD 600 - Instructions for Evaluation of Results

Lovibond BD 600
36 pages
Print Icon
To Next Page IconTo Next Page
To Next Page IconTo Next Page
To Previous Page IconTo Previous Page
To Previous Page IconTo Previous Page
Loading...
28
BD 600_GB_1 08/2015
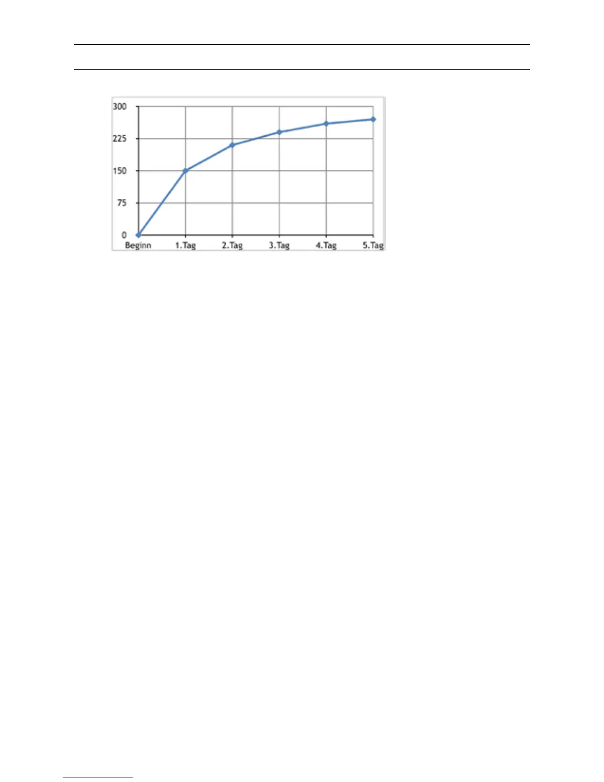
7 Instructions for evaluation of results
1. The BOD measurement values must always be higher than on the preceding day.
2. The BOD measurement values do not increase linearly. The increase is always smaller than on the
preceding day.
3. If the BOD measurement values increase linearly, the sample has a higher BOD value than was to
be expected when the sample was prepared.
4. If the BOD measurement values should suddenly rise drastically during the measurement, it may be
an indication of nitrification.
5. If the BOD measurement values fall during the measurement, the system may have become leaky.
The previous specifications and explanations always relate to regular samples (municipal waste wa-
ter) and normal behaviour of the bacteria over the course of a BOD measurement. However, spe-
cial cases are always possible and occur on the basis of the respective circumstances. For instance,
a zero indication after 5 days may be indicative of a leaky system or heavy suppression. Industrial
waste water is often subject to special circumstances. For instance, it may contain toxic substances.
These must be entirely eliminated from the sample or the sample must be diluted; otherwise the
measurement results are too low. Nutrients (nitrogen, phosphate), and trace elements (e.g. iron)
must also be available in a sufficient concentrations; otherwise growth limitations of the bacteria
and thus false low BOD readings can occur. Insofar as such problems occur during the BOD measu-
rement, they must be addressed and resolved on an individual basis.
Figure 21, typical BOD curve

Related product manuals