EasyManua.ls Logo

Man L27/38 - Description of Structure-Borne Noise

Man L27/38
392 pages
Print Icon
To Next Page IconTo Next Page
To Next Page IconTo Next Page
To Previous Page IconTo Previous Page
To Previous Page IconTo Previous Page
Loading...
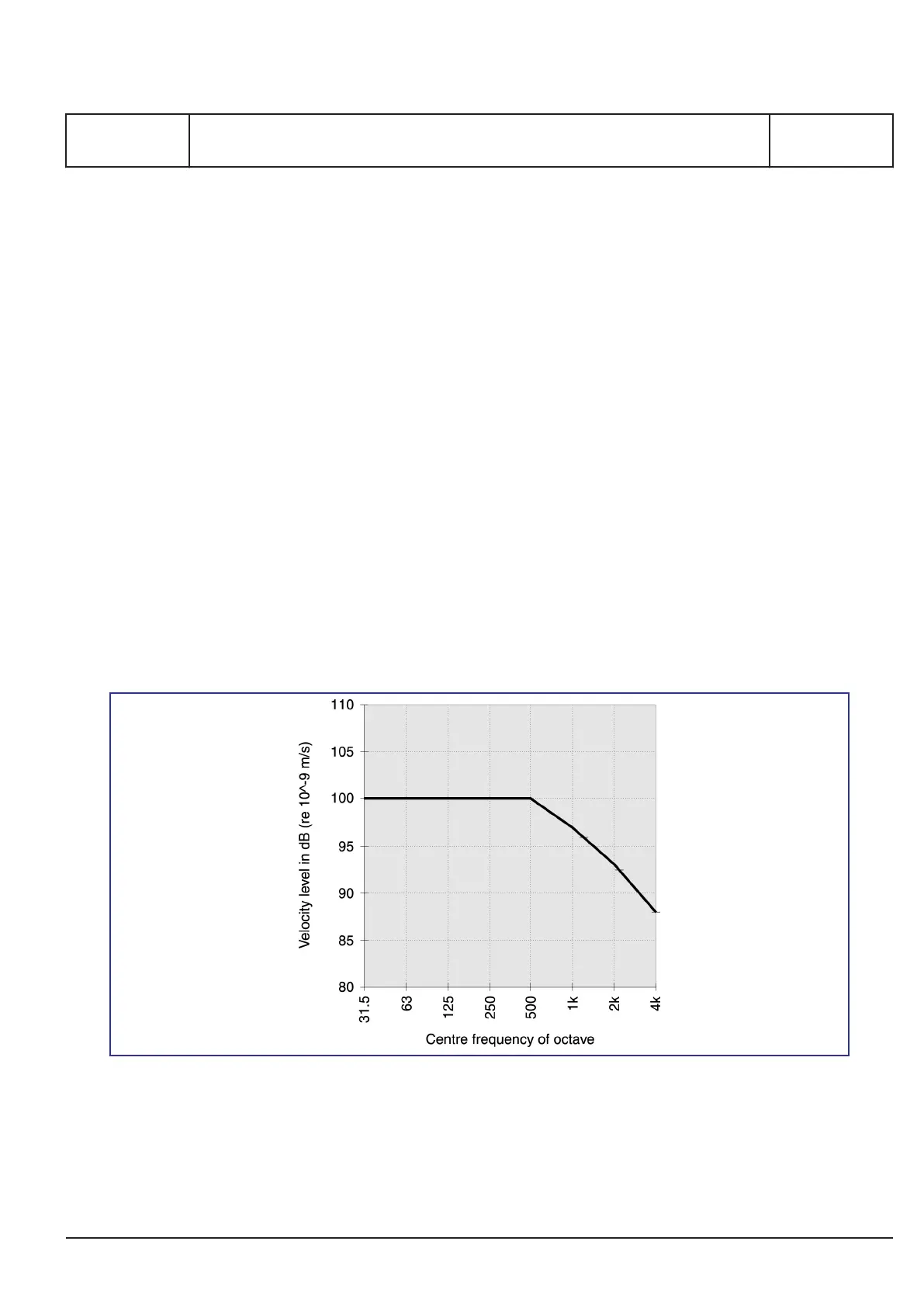
Introduction
This paper describes typical structure-borne noise
levels from standard resiliently mounted MAN Gen-
Sets. The levels can be used in the project phase
as a reasonable basis for decisions concerning
damping and insulation in buildings, engine rooms
and surroundings in order to avoid noise and vibra-
tion problems.
References
References and guidelines according to ISO 9611
and ISO 11689.
Operating condition
Levels are valid for standard resilient mounted Gen-
Sets on flexible rubber support of 55° sh (A) on rela-
tively stiff and well-supported foundations.
Frequency range
The levels are valid in the frequency range 31.5 Hz
to 4 kHz.
Figure 1: Structure-borne noise on resiliently mounted GenSets
MAN Diesel & Turbo
1671754-6.2
Page 1 (1)
Description of structure-borne noise
D 10 25 0
L28/32S, L23/30DF, L28/32S-DF, L27/38S, L23/30S, L21/31S, L16/24S, L28/32DF,
V28/32H, V28/32S, L16/24, L21/31, L23/30H, L27/38, L28/32H
2016.02.22

Table of Contents

Related product manuals