EasyManua.ls Logo

Mitsubishi SRK35ZS-S

Mitsubishi SRK35ZS-S
335 pages
To Next Page IconTo Next Page
To Next Page IconTo Next Page
To Previous Page IconTo Previous Page
To Previous Page IconTo Previous Page
Loading...
-
17
-
'16 • SCM-T-199
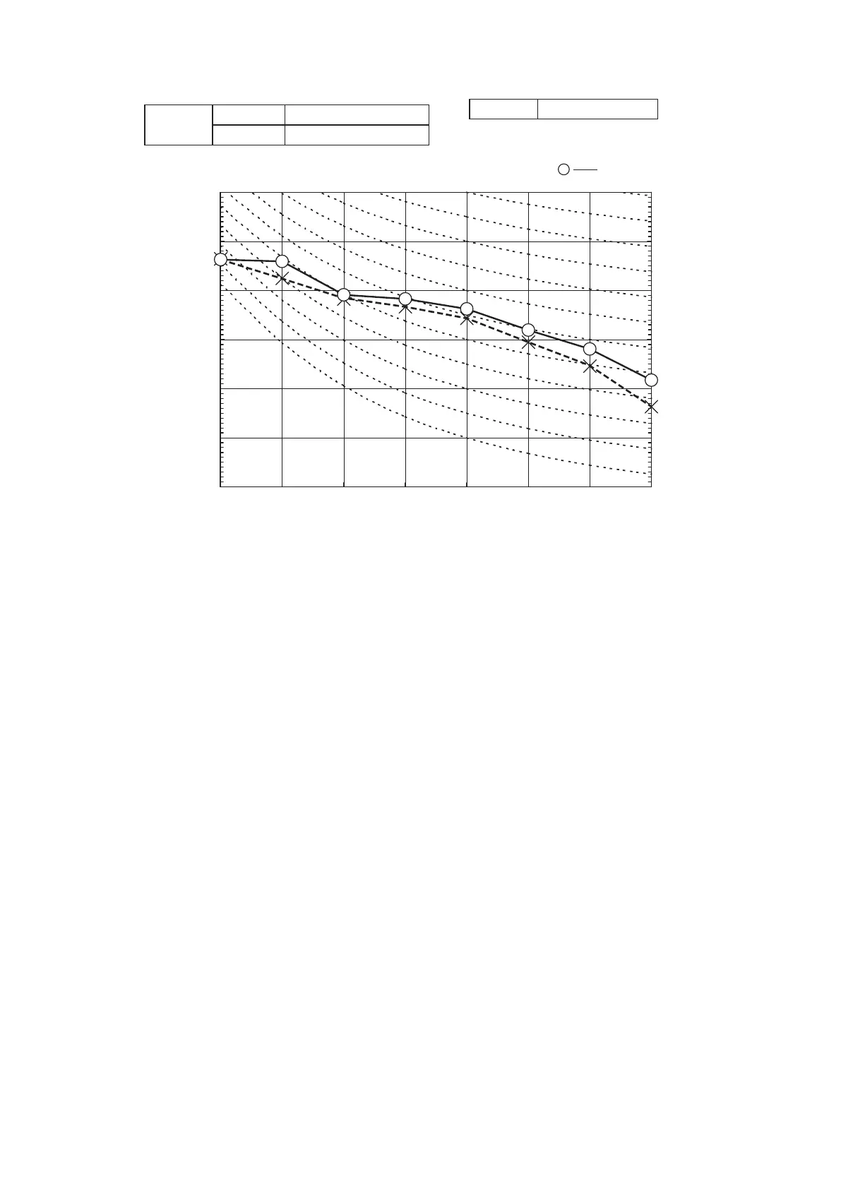
Noise
Level
Cooling 49 dB(A)
Heating 51 dB(A)
×
......
Cooling,
Heating
Condition ISO-T1,JIS C 9612
10
20
30
40
50
60
70
63 125 250 500 1000 2000 4000 8000
Mid octave band frequency (Hz)
Sound pressure level (dB)
(Standard 2×10
-5
Pa)
10
20
30
40
50
60
70
N50
N30
N40
N60
N70
N20
Model SCM50ZS-S

Table of Contents

Other manuals for Mitsubishi SRK35ZS-S

Related product manuals