EasyManua.ls Logo

NAD 216 - Electrical Parts List

NAD 216
15 pages
Print Icon
To Next Page IconTo Next Page
To Next Page IconTo Next Page
To Previous Page IconTo Previous Page
To Previous Page IconTo Previous Page
Loading...
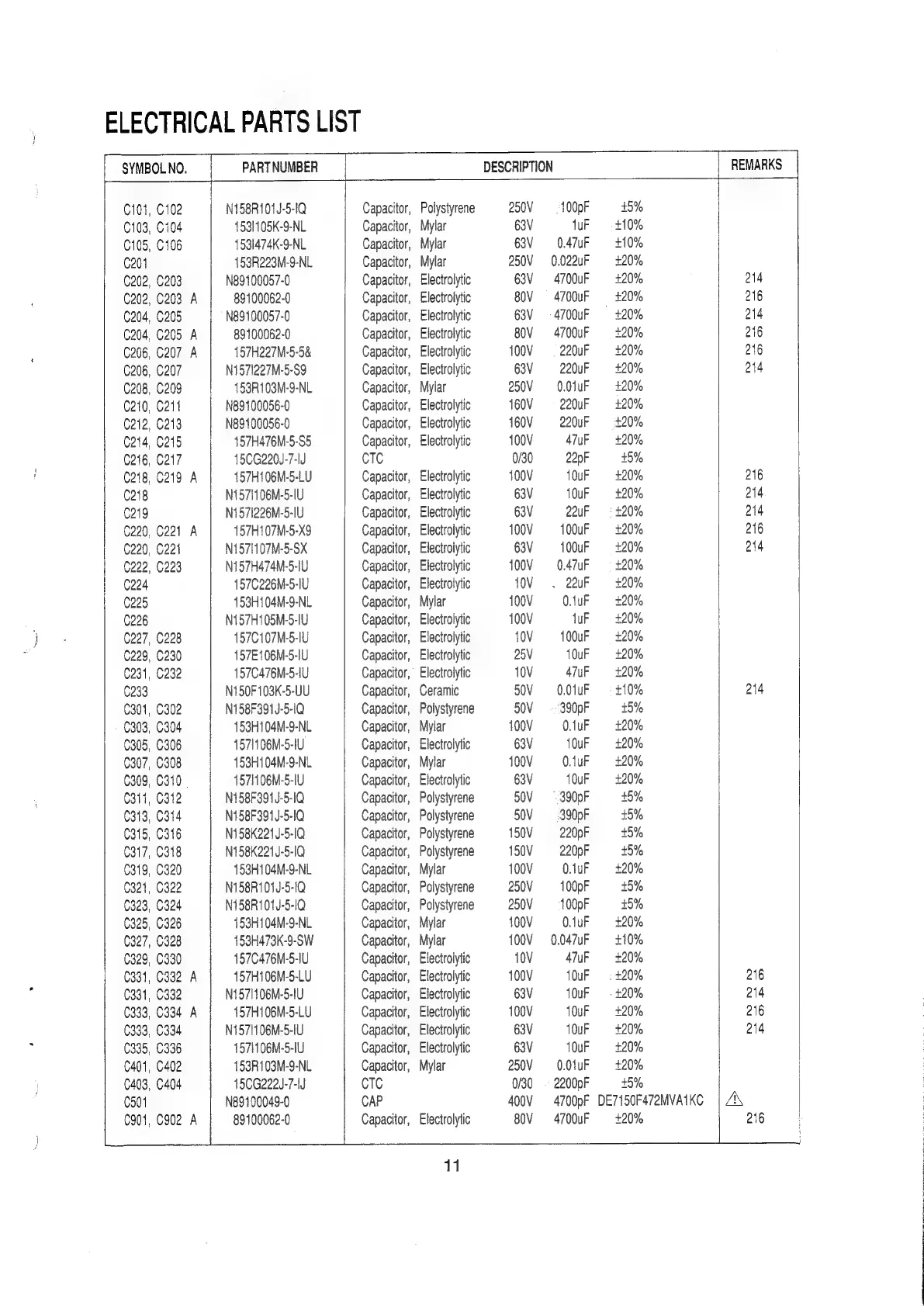
ELECTRICAL
PARTS
LIST
———
SYMBOL
NO.
C101,
C102
C103,
C104
C105,
C106
C201
C202,
C203
C202,
C203
A
C204,
6205
C204,
C205
A
0206,
C207
A
0206,
0207
0208,
0209
0210,
C211
0212,
C213
C2t4,
C215
0216,
C217
0218,
C219
A
C218
C219
0220,
C221
A
0220,
0221
222,
0223
0224
0225
0226
0227,
C228
0229,
C230
(231,
C232
(233
0301,
6302
0303,
C304
0305,
C306
0307,
0308
C309,
0310
C311,
0312
0313,
C314
0315,
C316
0317,
0318
0319,
0320
0321,
0322
0323,
0324
325,
0326
0327,
0328
0329,
0330
0331,
C332
A
0331,
0332
0333,
C334
A
(333,
0334
(335,
C336
0401,
C402
403,
C404
(501
0901,
C902
A
PARTNUMBER
N158R101J-5-IQ
1531105K-9-NL
1531474K-9-NL
153R223M-9-NL
N89100057-0
89100062-0
N89100057-0
89100062-0
157H227M-5-58&
N1571227M-5-S9
153R103M-9-NL
N89100056-0
N89100056-0
157H476M-5-S5
15CG220J-7-ld
157H106M-5-LU
N1571106M-5-IU
N1571226M-5-IU
157H107M-5-X9
N1571107M-5-SX
N157H474M-5-IU
157C226M-5-IU
153H104M-9-NL
157H105M-5-IU
1570107M-5-
157E106M-5-
1570476M-5-
150F103K-5-U
158F391J-5-IQ
153H104M-9-N
1571106M-5-1U
153H104M-9-NL
1571106M-5-IU
N158F391J-5-IQ
N158F391J-5-IQ
N158K221J-5-1Q
Q
N
Q
=z
ccc
=z
c
=z
fe
N158K221J-5-
=
on
foe)
=
a
r
Co
aon
157H106M-5-LU
N4571106M-5-IU
157H106M-5-LU
N1571106M-5-IU
1571106M-5-IU
153R103M-9-NL
150G222J-7-1J
N89100049-0
89100062-0
Capacitor,
Capacitor,
Capacitor,
Capacitor,
Capacitor,
Capacitor,
Capacitor,
Capacitor,
Capacitor,
Capacitor,
Capacitor,
Capacitor,
Capacitor,
Capacitor,
CTC
Capacitor,
Capacitor,
Capacitor,
Capacitor,
Capacitor,
Capacitor,
Capacitor,
Capacitor,
Capacitor,
Capacitor,
Capacitor,
Capacitor,
Capacitor,
Capacitor,
Capacitor,
Capacitor,
Capacitor,
Capacitor,
Capacitor,
Capacitor,
Capacitor,
Capacitor,
Capacitor,
Capacitor,
Capacitor,
Capacitor,
Capacitor,
Capacitor,
Capacitor,
Capacitor,
Capacitor,
Capacitor,
Capacitor,
Capacitor,
CTC
CAP
Capacitor,
DESCRIPTION
REMARKS
|
Polystyrene
250V
—-
100pF
t5%
Mylar
63V
tuF
+10%
Mylar
63V.0.47uF
=
10%
Mylar
250V
0.022uUF
120%
Electrolytic
63V
4700uF-
=
#20%
214
Electrolytic
80V
4700uF
420%
216
Electrolytic
63V
-4700uF
420%
214
Electrolytic
80V
4700UF
=
420%
216
Electrolytic
100V.
=
220uF_
=
420%
216
Electrolytic
63V.—
220uF_
=
420%
214
Mylar
250V
0.0tuF
420%
Electrolytic
160V
=
220uF
=
20%
Electrolytic
160V
=
220uF
=:
#20%
Electrolytic
100V
47uF
+20%
0/30
22pF
+5%
Electrolytic
100V
1QuF
+20%
216
Electrolytic
63V
1QuF
+20%
214
Electrolytic
63V
22uF
=
20%
214
Electrolytic
100V.
100uUF
=
#20%
216
Electrolytic
63V
100uF
=
£20%
214
Electrolytic
100V.
0.47uF
=
+20%
Electrolytic
10V
22uF
=
+20%
Mylar
100V
O.1uF
420%
Electrolytic
100V
tuF
=
£20%
Electrolytic
10V
100UF
==
#20%
Electrolytic
25V
1QuF
+20%
Electrolytic
10V
47uF
20%
Ceramic
SOV
0.01uF
=
10%
214
Polystyrene
50V
—-
390pF
5%
Mylar
100V
O.tuF
420%
Electrolytic
63V
10uF
+20%
Mylar
100V
O.1uF
+20%
Electrolytic
§3V
10uF
20%
Polystyrene
50V
—-
390pF
5%
Polystyrene
50V
—-
390pF
+5%
Polystyrene
150V.
—-220pF
5%
Polystyrene
150V
—.220pF
15%
Mylar
100V
O.1uF
220%
Polystyrene
250V
—-100pF
15%
Polystyrene
250V
—-
100pF
+5%
Mylar
{00V
O.1uF
+20%
Mylar
100V
0.047uF
£10%
Electrolytic
10V
47uF
+20%
Electrolytic
100V
1QuF
+20%
216
Electrolytic
63V
10uF
=
£20%
214
Electrolytic
100V
10uF
420%
216
Electrolytic
63V
10uF
=
#20%
214
Electrolytic
63V
1QuF
420%
Mylar
250V
0.01uF
+20%
0/30
©
2200pF
+5%
400V
4700pF
DE71S0F472MVAIKC
|
AN
Electrolytic
80V
4700UF
+20%
216
11

Related product manuals