EasyManua.ls Logo

NAD T531B - Page 22

NAD T531B
69 pages
Print Icon
To Next Page IconTo Next Page
To Next Page IconTo Next Page
To Previous Page IconTo Previous Page
To Previous Page IconTo Previous Page
Loading...
3-11
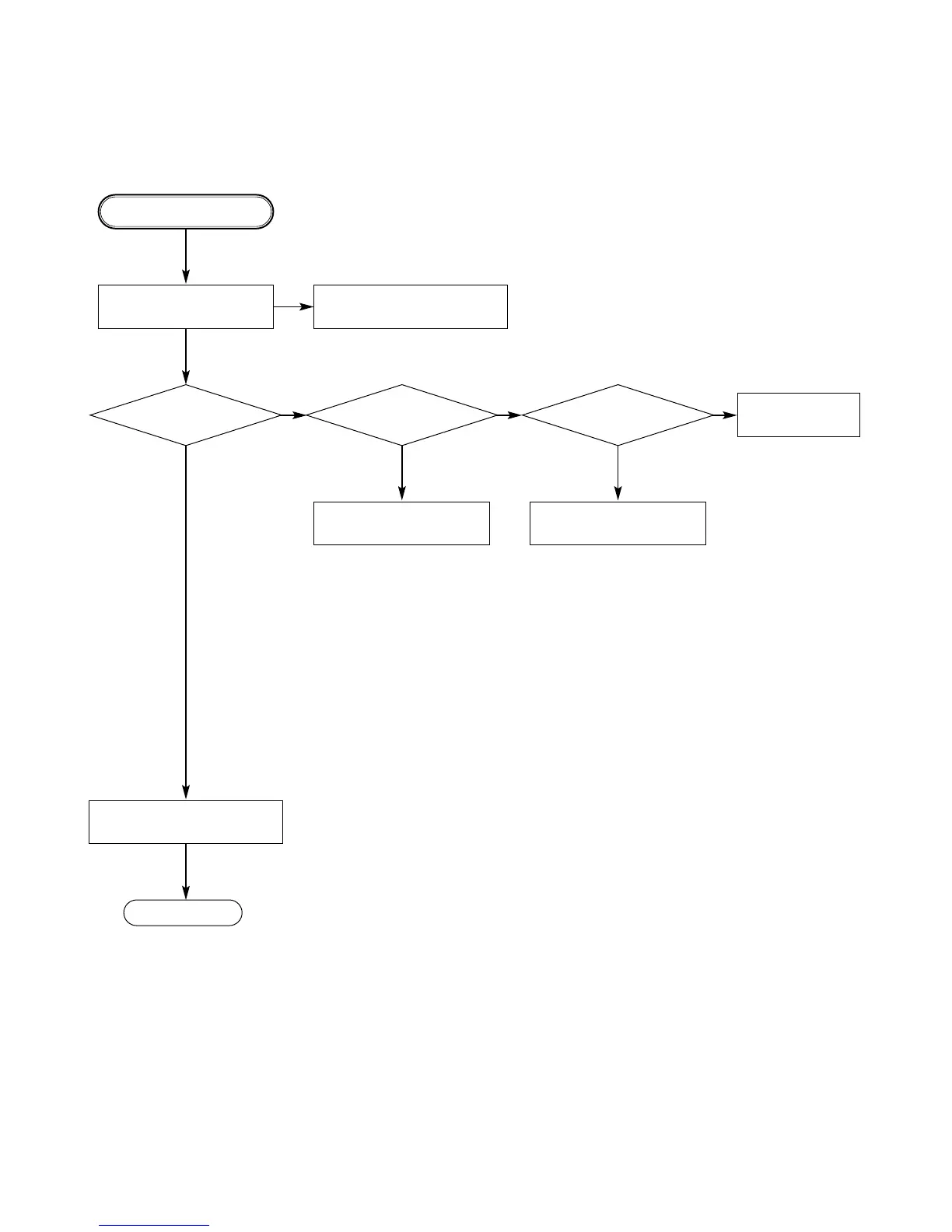
Is the eye-pattern vivid?
Does the
sawtooth waveform emit
at IC2A1 Pin 41?
Does the 1.6V emit?
Check RF Eye-Pattern.
RF : 1.5-1.6V(IC2A1 Pin 57)
Fig.5. RF
waveform
Check IC2A1 Pins 5, 6, 7, 8.
No signal: Pick-up is defective
Replace IC201.
Check IC201 Pin84.
No signal at IC201 : IC201 is defective
Check IC201 Pin 162.
Check the clock at the IC201 Pins 28, 30.
Both are normal : IC201 is defective
Replace IC2A1.
CHECK A
D.
END
NO
NO NO NO
YES
YES YES YES

Related product manuals