EasyManua.ls Logo

Nexo P10 - ARRAY EQ; Frequency Response Adjustment

Nexo P10
18 pages
Print Icon
To Next Page IconTo Next Page
To Next Page IconTo Next Page
To Previous Page IconTo Previous Page
To Previous Page IconTo Previous Page
Loading...
ARRAY EQ
Page 12 / 18 P10
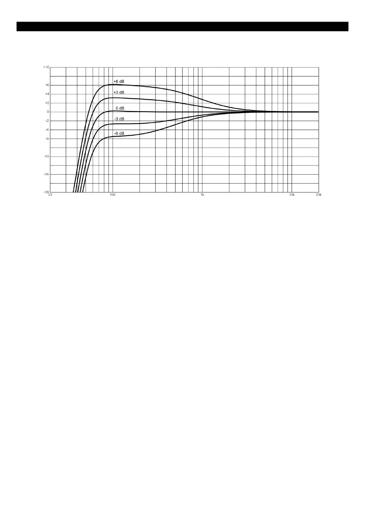
ARRAY EQ
The ArrayEQ allows to adjust the system frequency response in its lower range
(see curves below, with different ArrayEq values):

Related product manuals