EasyManua.ls Logo

Nokia 7230 - WCDMA Receiver Troubleshooting Flowchart

Nokia 7230
166 pages
To Next Page IconTo Next Page
To Next Page IconTo Next Page
To Previous Page IconTo Previous Page
To Previous Page IconTo Previous Page
Loading...
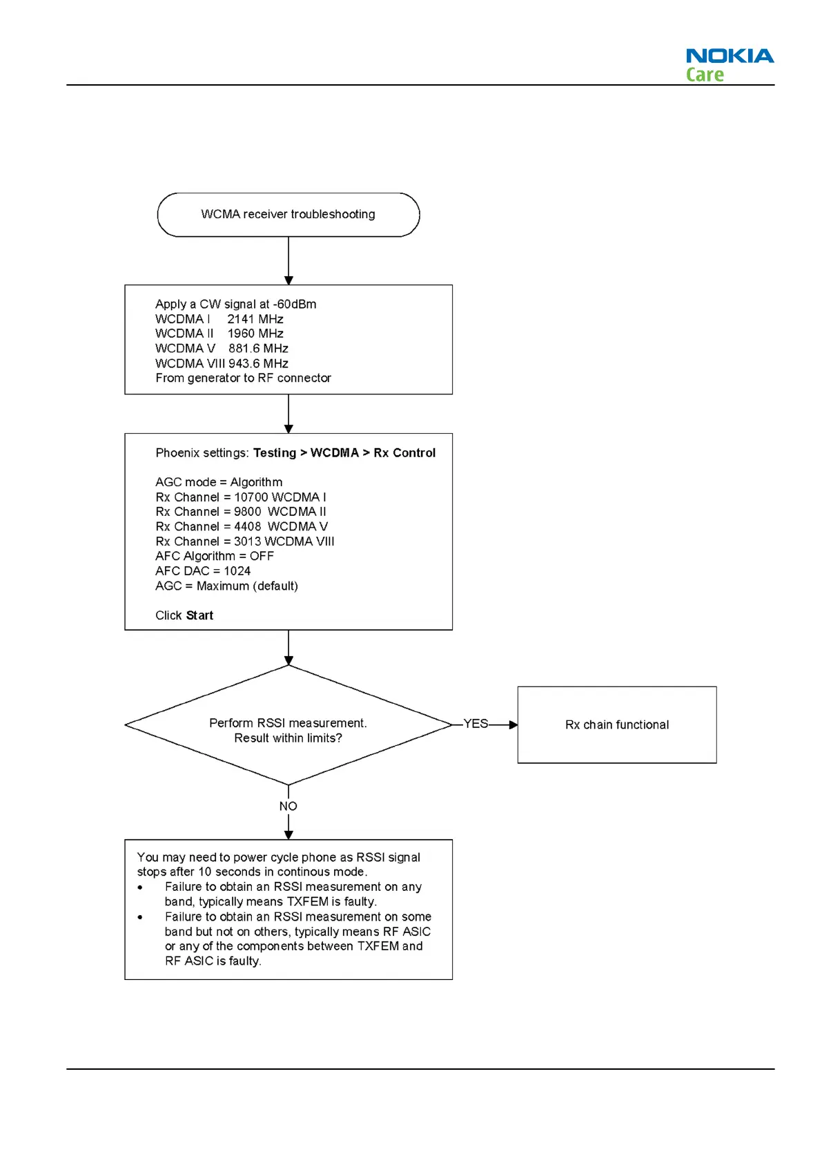
WCDMA receiver troubleshooting flowchart
Troubleshooting flow
RM-598; RM-604
RF Troubleshooting
Issue 1 COMPANY CONFIDENTIAL Page 4 –15
Copyright © 2009 Nokia. All rights reserved.

Table of Contents

Other manuals for Nokia 7230

Related product manuals