EasyManua.ls Logo

NUM 1040 M - Page 237

Default Icon
388 pages
Print Icon
To Next Page IconTo Next Page
To Next Page IconTo Next Page
To Previous Page IconTo Previous Page
To Previous Page IconTo Previous Page
Loading...
en-938821/2 6 - 13
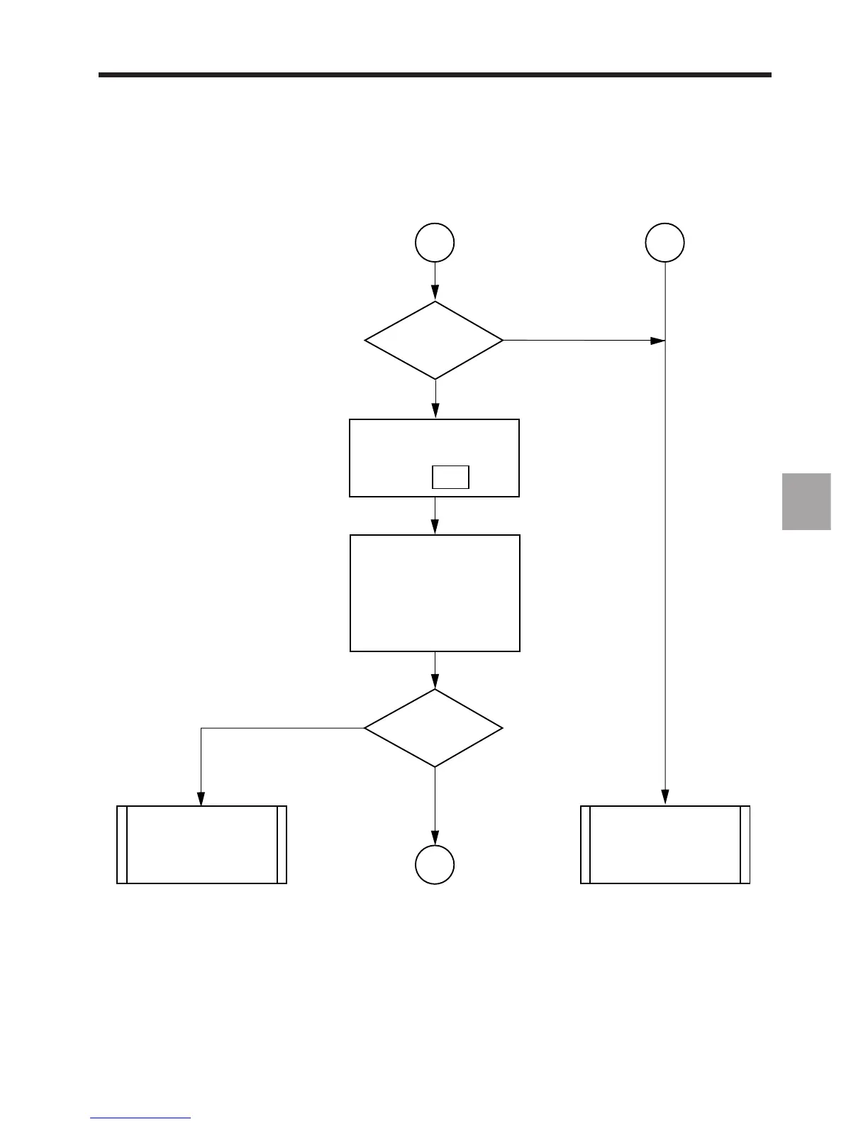
Operational Problems
6
Wait for programme
execution restart after
reception of the
sync. point.
3
No
Yes
Is
G78 P..
present
?
Display the
programme page
PROG.
In the current block, check
for the presence of the
following functions:
C_EXTENDg = 0
?
1
Examine the PLC
programme to
determine the origin
of the fault.
Yes
2
No
- G09 :
exact stop at the
end of the block.
awaiting a sync.
point in another
axis group,
- G78 P.. :

Table of Contents

Related product manuals