EasyManua.ls Logo

NUM 1040 M - Page 239

Default Icon
388 pages
Print Icon
To Next Page IconTo Next Page
To Next Page IconTo Next Page
To Previous Page IconTo Previous Page
To Previous Page IconTo Previous Page
Loading...
en-938821/2 6 - 15
Operational Problems
6
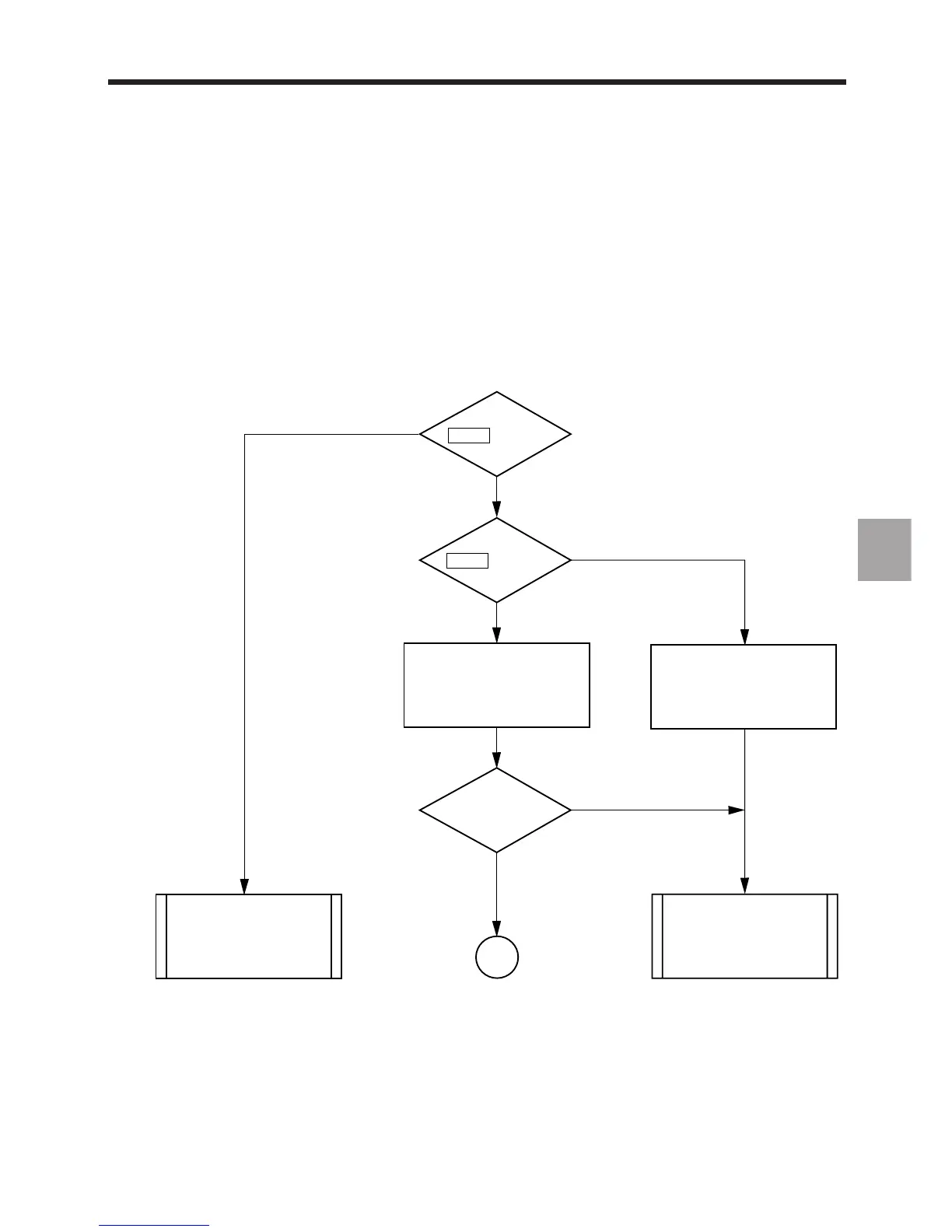
6.5.2 No Block Sequencing, "INCYC" Indicator Absent
Failure symptoms
Automatic or dry run mode selected.
The movements stop at the end of the block.
The "INCYC" indicator is absent from the status window.
Trouble-shooting
Restart machining by
pressing the "CYCLE"
button on the
machine panel.
Check whether a change
in machining mode has
been requested.
Mode change
?
Yes
No
No
Yes
The programme execution
is finished.
Yes
No
Programmed machining
stop: carry out the expected
intervention.
Is the
M02 indicator
displayed
?
Is the
M00 indicator
displayed
?
1

Table of Contents

Related product manuals