EasyManua.ls Logo

Olympus U-MDO3 - Page 4

Olympus U-MDO3
18 pages
Print Icon
To Next Page IconTo Next Page
To Next Page IconTo Next Page
To Previous Page IconTo Previous Page
To Previous Page IconTo Previous Page
Loading...
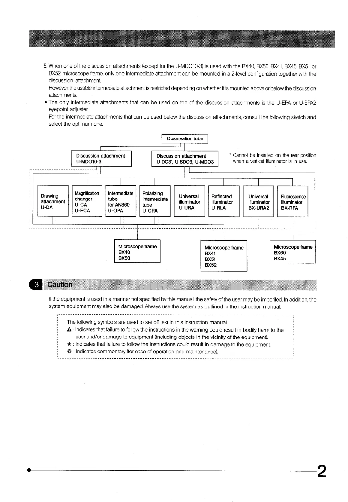
5. When one of the discussion attachments (except for the U-MDOlO-3) is used with the BX40, BX50, BX41, 6x45, BX51 or
BX52 microscope frame, only one intermediate attachment tan be mounted in a 2-level configuration together with the
discussion attachment.
However; the usable intermediate attachment is restricted depending on whether it is mounted above or below the discussion
attachments.
l
The only intermediate attachments that tan be used on top of the discussion attachments is the U-EPA or U-EPA2
eyepoint adjuster.
For the intermediate attachments that tan be used below the discussion attachments, consult the following Sketch and
select the Optimum one.
1 Observation tube 1
I
Discussion attachment
U-MDOlO-3
I 1 ~~~~
Discussion attachment
* Cannot
be
installed on
the
rear position
U-D03, U-SDO3, U-MD03
when a vertical illuminator is in use.
I
Drawing
attachment
U-DA
Magnitication
Intermediate
changer tube
U-CA for AN360
U-ECA
U-OPA
Polarizing
intermediate
tube
U-CPA
Universal
illuminator
U-URA
Reflected
illuminator
U-FM
Universal
illuminator
BX-URAP
Ruorescence
illuminator
BX-RFA
I
I
I
l
l
i
I
Microscope frame
If the equipment is used in a manner not specified by this manual, the safety of the user may be imperiled. In addition, the
System equipment may also be damaged. Always use the System as outlined in the instruction manual.
(------_______-------~..~..~~~~~~--------.~~~~~~~~-~--------~~~~~~~~~-----------.~~~~~~~-----------~
i
The following Symbols are used to set off text in this instruction manual.
/
A : Indicates that failure to follow the instructions in the warning could result in bodily harm to the
i
user and/or darnage to equipment (including objects in the vicinity of the equipment).
I
* : Indicates that failure to follow the instructions could result in darnage to the equipment
)
j
Q : Indicates commentary (for ease of Operation and maintenance).
r----------__.__________________________-----------------------------------------------------------,
I
0
/
2

Related product manuals