EasyManua.ls Logo

Panasonic CU-NE9NKE - 17 Technical Data; Operation Characteristics

Panasonic CU-NE9NKE
117 pages
Print Icon
To Next Page IconTo Next Page
To Next Page IconTo Next Page
To Previous Page IconTo Previous Page
To Previous Page IconTo Previous Page
Loading...
95
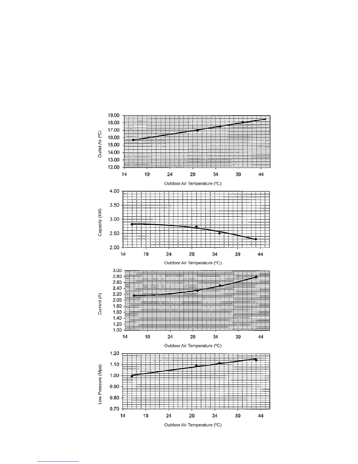
17. Technical Data
17.1 Operation Characteristics
17.1.1 CU-NE9NKE CU-QE9NKE
Cooling Characteristic
[Condition] Indoor temperature: 27/19°C
Remote condition: High fan speed, Cool 16°C
Comp. Hz: Rated Fc
Voltage: 230V

Table of Contents

Related product manuals