EasyManua.ls Logo

Panasonic CU-NE9NKE - Page 97

Panasonic CU-NE9NKE
117 pages
Print Icon
To Next Page IconTo Next Page
To Next Page IconTo Next Page
To Previous Page IconTo Previous Page
To Previous Page IconTo Previous Page
Loading...
97
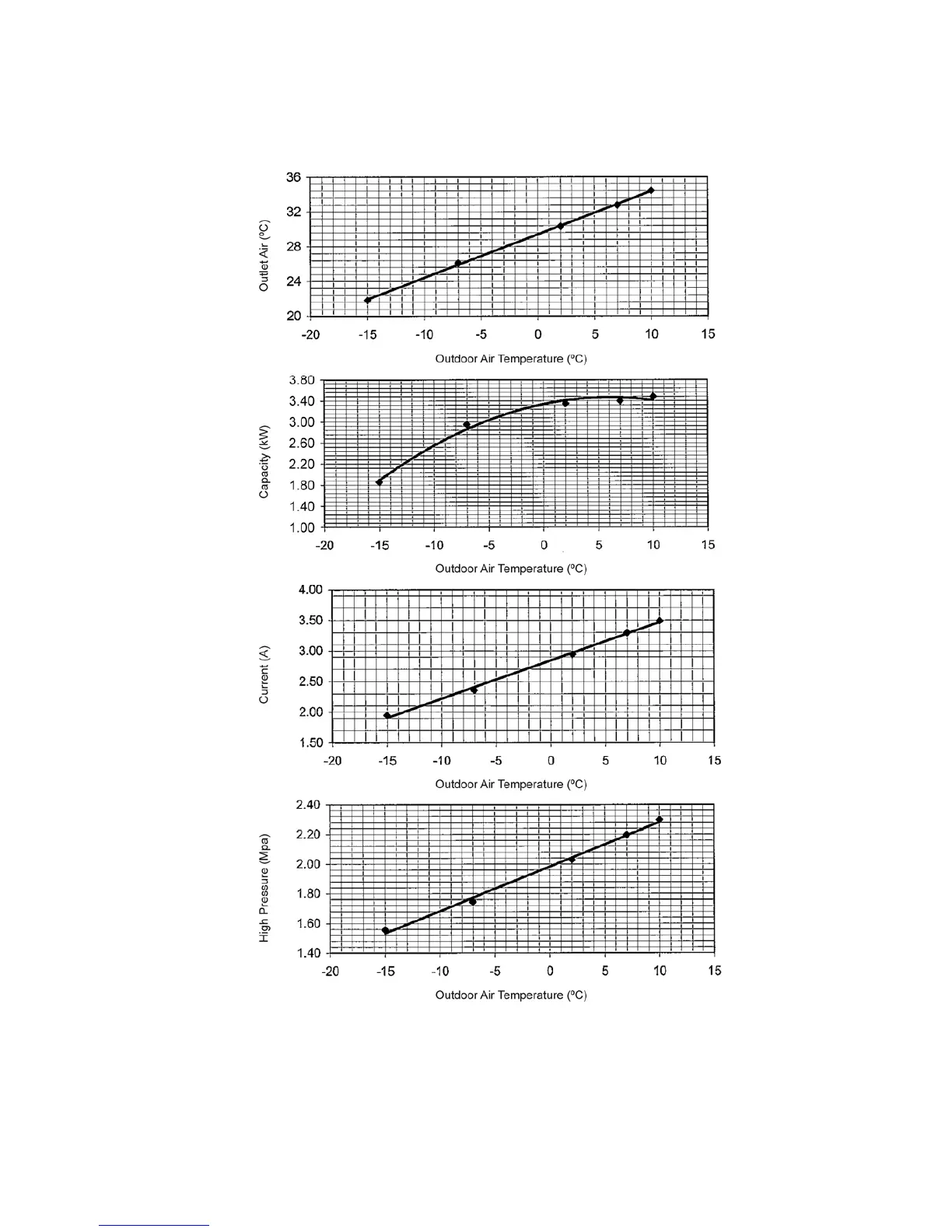
Heating Characteristic
[Condition] Indoor temperature: 20/-°C
Remote condition: High fan speed, Heat 30°C
Comp. Hz: Rated Fh
Voltage: 230V

Table of Contents

Related product manuals