EasyManua.ls Logo

Panasonic CU-SA9CKP5 - Page 54

Panasonic CU-SA9CKP5
62 pages
Print Icon
To Next Page IconTo Next Page
To Next Page IconTo Next Page
To Previous Page IconTo Previous Page
To Previous Page IconTo Previous Page
Loading...
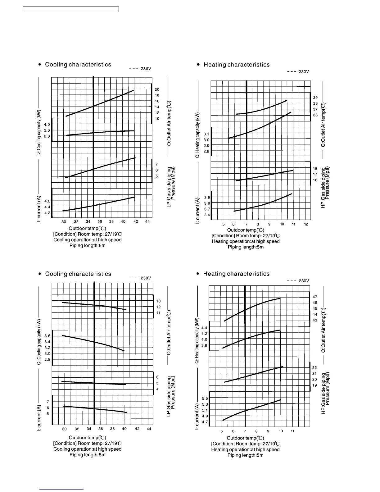
Operating characteristics
CS-SA9CKP/CU-SA9CKP5
CS-SA12CKP/CU-SA12CKP5
54
CS-SA9CKP CU-SA9CKP5 / CS-SA12CKP CU-SA12CKP5

Related product manuals