EasyManua.ls Logo

Panasonic MDF-U700VX-PB - OPTIONAL BACKUP COOLING KIT; Backup Cooling Kit Functionality; Backup Cooling Kit Operation

Panasonic MDF-U700VX-PB
57 pages
Print Icon
To Next Page IconTo Next Page
To Next Page IconTo Next Page
To Previous Page IconTo Previous Page
To Previous Page IconTo Previous Page
Loading...
49
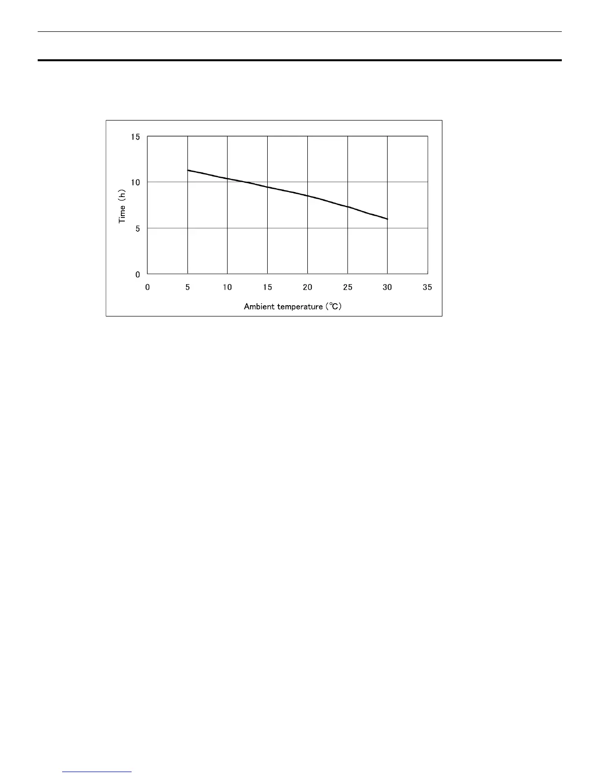
BACKUP COOLING KIT (OPTION)
Chamber temperature is the time when -70
o
C can be holding for Liquid CO
2
backup cooling kit .
Keep a liquefied CO
2
cylinder at less than 31
o
C.
• The above data is the experiment value which uses liquid CO
2
30L. (no-load)

Table of Contents

Related product manuals