EasyManua.ls Logo

Panasonic SB-FS730 - Self-Diagnosis and Service Mode Operations; Optical Pickup Self-Diagnosis (DVD)

Panasonic SB-FS730
158 pages
Print Icon
To Next Page IconTo Next Page
To Next Page IconTo Next Page
To Previous Page IconTo Previous Page
To Previous Page IconTo Previous Page
Loading...
9 Optical Pickup Self-Diagnosis and Replacement
Procedure (DVD Section)
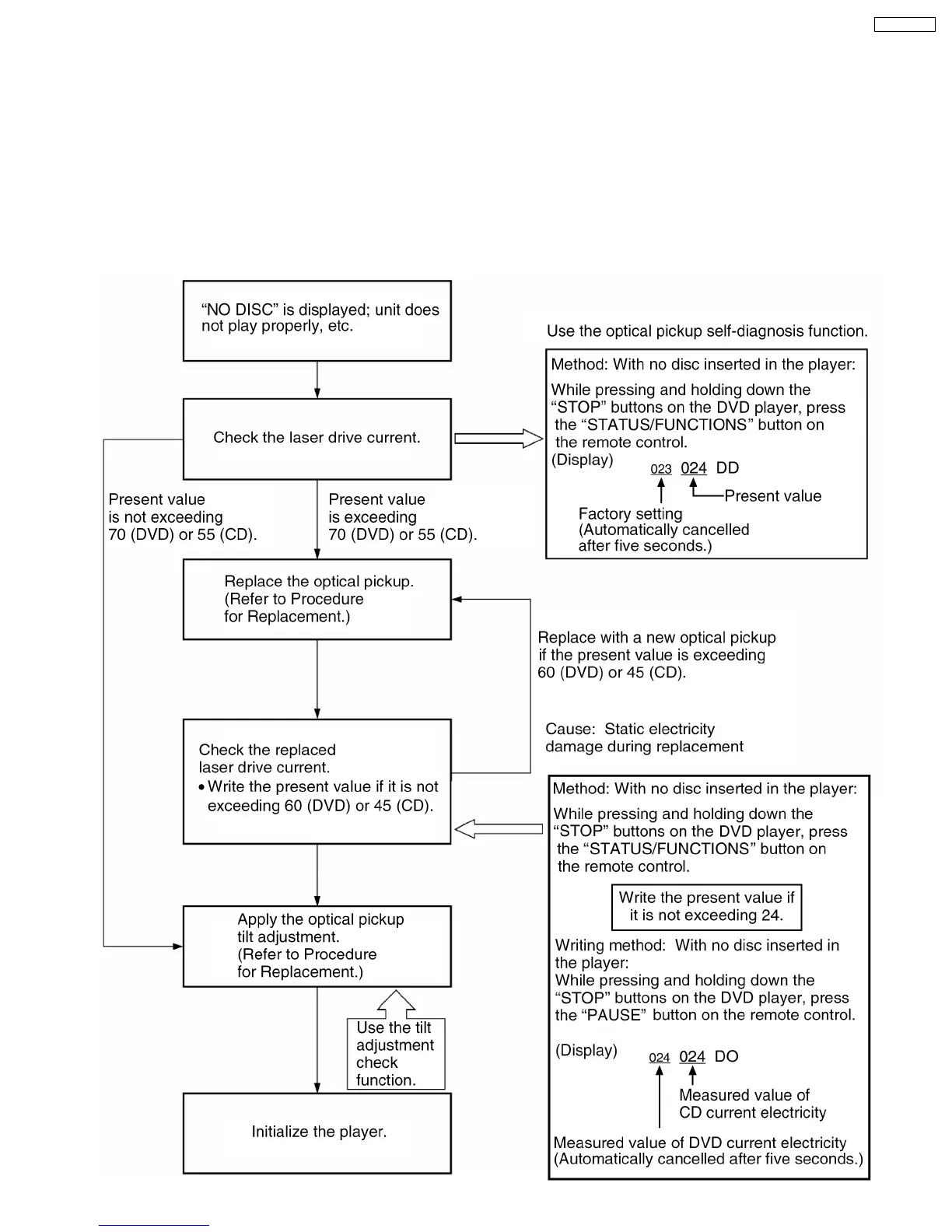
9.1. Self-diagnosis
This unit is equipped with the optical pickup self-diagnosis function and the tilt adjustment check function. Follow the procedure
described below during repair in order to perform self-diagnosis and tilt adjustment effectively. Especially when "NO DISC" is
displayed, be sure to apply the self-diagnosis function before replacing with an optical pickup. Replacement of optical pickup
generally requires when the present value of laser drive exceeds 55.
Note:
Start diagnosis within three minutes after turning on the power (as diagnosis fails when the unit becomes warm).
13
SA-HT833VP

Table of Contents

Related product manuals