EasyManua.ls Logo

Paslode 30 Degree - Page 16

Paslode 30 Degree
23 pages
Print Icon
To Next Page IconTo Next Page
To Next Page IconTo Next Page
To Previous Page IconTo Previous Page
To Previous Page IconTo Previous Page
Loading...
16
El intervalo de mantenimiento para limpiar la clav-
adora Paslode Cordless varia dependiendo del
número de clavos instalados y de las
de operación en las que se use la herramienta.
Si usa la clavadora Paslode Cordless en un
iente sucio o durante largos períodos, debe
limpiarla a intervalos más cortos.
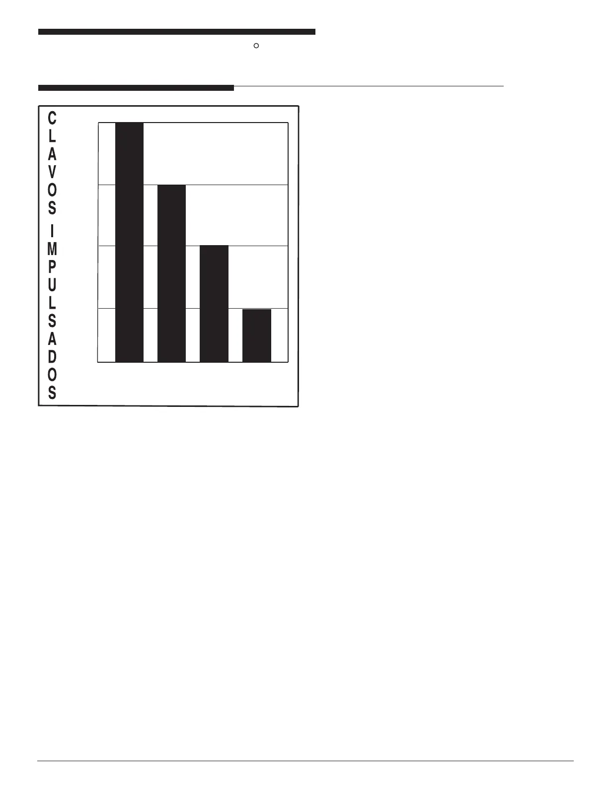
Paslode desarrolló esta tabla como una guía para
ayudarlo a establecer el programa de limpieze
apropiado según el uso que le a la herramienta.
Si se da cuenta de que el intervalo de limpieza
sugerido permite que la herramienta se ensucie
demasiado entre las limpi
ezas programadas, re-
duzca el intervalo a la frecuencia menor sugerida.
Si es aparente que la clavadora Paslode Cordless
no necesita limpieza en el momento sugerido,
aumente los intervalos al siguiente período.
Si tiene alguna pregunta con respecto a esta tabla
o a cualquier instrucción en este procedimiento de
limpieza, póngase en contacto con su representante
de Paslode.
Clavadora Paslode 30 Cordless
Procedimiento de limpieza
CONDICIONES DE OPERACIÓN
LIMPIAS
SUCIAS
MODERADAS
MUY SUCIAS
50000
40000
0
30000
20000
condiciones
amb
120 Travail Road.Markham, ONL3S 3J1
www.paslode.ca
Canada
A Division of ITW Australia Pty Ltd
ABN 63 004 235 063
PO Box 914
Ingleburn,1890
www.paslode.com.au
Australia
A Division of ITW New Zealand Ltd
PO Box 100 303 NSMC
Aukland, New Zealand
www.paslode.co.nz
New Zealand
USA
An Illinois Tool Works Co.
155 Harlem Avenue
Glenview, IL 60025
www.paslode.com
P
P P
P

Related product manuals