EasyManua.ls Logo

PHILIPS Respironics Wisp - Limited Warranty

PHILIPS Respironics Wisp
152 pages
Print Icon
To Next Page IconTo Next Page
To Next Page IconTo Next Page
To Previous Page IconTo Previous Page
To Previous Page IconTo Previous Page
Loading...
4
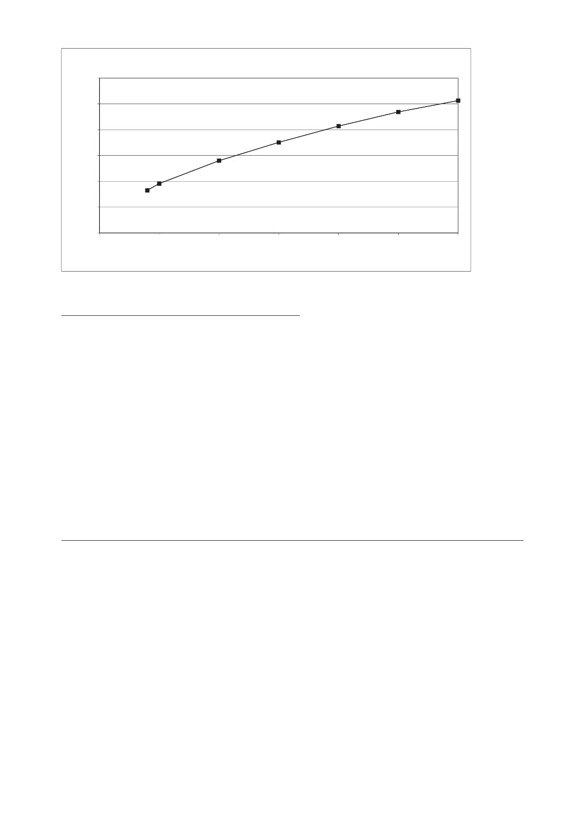
Pressure Flow Curve
0
10
20
30
40
50
60
0 5 10 15 20 25 30
Flow Rate (SLPM)
Pressure cm H
2
O
Resistance
Drop in Pressure at
50 SLPM 100 SLPM
All sizes 0.8 cm H
2
O 3.2 cm H
2
O
Deadspace Volume
P 37 mL
S/M 49 mL
L 73 mL
XL 85 mL
Sound Levels
A-weighted Sound Power Level 27 dBA
A-weighted Sound Pressure Level at 1 m 19 dBA
Disposal
Dispose of in accordance with local regulations.
Storage Conditions
Temperature: -4º to 140º F (-20º to +60º C)
Relative Humidity: 15% to 95% non-condensing
Limited Warranty
Respironics, Inc. warrants that its mask systems (including mask frame and cushion) (the “Product”) shall be
free from defects of workmanship and materials for a period of ninety (90) days from the date of purchase (the
Warranty Period”).
If the Product fails under normal conditions of use during the Warranty Period and the Product is returned to
Respironics within the Warranty Period, Respironics will replace the Product. This warranty is nontransferable and
only applies to the original owner of the Product. The foregoing replacement remedy will be the sole remedy for
breach of the foregoing warranty.
This warranty does not cover damage caused by accident, misuse, abuse, negligence, alteration, failure to use or
maintain the Product under conditions of normal use and in accordance with the terms of the product literature,
and other defects not related to materials or workmanship.
This warranty does not apply to any Product that may have been repaired or altered by anyone other
than Respironics. Respironics disclaims all liability for economic loss, loss of profits, overhead, or indirect,
consequential, special or incidental damages which may be claimed to arise from any sale or use of the Product.
Some jurisdictions do not allow the exclusion or limitation of incidental or consequential damages, so the above
limitation or exclusion may not apply to you.
THIS WARRANTY IS GIVEN IN LIEU OF ALL OTHER EXPRESS WARRANTIES. IN ADDITION, ANY IMPLIED WARRANTY,
INCLUDING ANY WARRANTY OF MERCHANTABILITY OR FITNESS FOR A PARTICULAR PURPOSE, IS SPECIFICALLY
DISCLAIMED. SOME JURISDICTIONS DO NOT ALLOW DISCLAIMERS OF IMPLIED WARRANTIES, SO THE ABOVE
LIMITATION MAY NOT APPLY TO YOU. THIS WARRANTY GIVES YOU SPECIFIC LEGAL RIGHTS, AND YOU MAY ALSO
HAVE OTHER RIGHTS UNDER LAWS APPLICABLE IN YOUR SPECIFIC JURISDICTION.

Table of Contents

Related product manuals